什么是y参数?
y参数(也称为入场参数要么短路参数)是用于描述线性电气网络的电气行为的电气工程中使用的性质。这些Y参数用于Y族矩阵(导纳矩阵)以计算传入和传出电压和潮流网络。
Y参数也称为“短路阻抗参数”,因为它们在开路条件下计算。也就是说我X=∞,其中x = 1,2是指流过一个流过端口的输入和输出电流两个端口网络。
y参数常用于旁边z参数那H参数,和ABCD参数模拟和分析传输线。
如何在两个端口网络中找到y参数
以下示例介绍如何计算双端口网络的Y参数。注意,Y参数也称为导纳参数,并且这些术语可以在这些示例中可互换使用。
分析时z参数(也称为阻抗参数),我们通过以下等式表示电流术语中的电压。
同样,我们可以在电压BT方面表示电流入场参数A.两个端口网络。然后我们将代表电流电压关系,
这也可以以矩阵形式表示为,
在这里,y11.,Y.12.,Y.21,和y22.是入场参数(要么y参数)。
我们可以确定特定参数的值两个端口网络通过使短路输出端口和输入端口如下。
首先,让我们申请目前的来源I.1在输入端口,保持输出端口短路,如下所示。
在这种情况下,电压由于端口的终端短路,因此输出端口将为零。
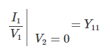
现在,输入电流的比率i1输入电压V1虽然输出电压V2= 0,是
这被称为短路输入准入。
输出电流I的比率i2输入电压V1虽然输出电压V2= 0,是
这被称为短路传输准入从输入端口到输出端口。
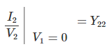
现在,让我们短路网络的输入端口并应用当前I2在输出端口处,如下所示。
在这种情况下,
这被称为短路输出准入。
这被称为从输入端口到输出端口的短路转移入场。
最后,





