什么是入场?
入场被定义为电路或设备将允许的容易程度当前的流过它。入场是互惠(逆)阻抗,类似于如何电法和抵抗性有关系。Si的入场单位是西门子(符号S)。
要重申上面的定义:让我们首先通过与主题相关的一些重要术语准入。我们都知道抵抗性(r)只有幅度但没有阶段。我们可以说这是反对流动的衡量标准当前的。
在交流电路中;除了电阻外,两个阻碍机制(电感和电容)必须考虑。因此,引入术语阻抗,其具有相同的电阻函数,但具有幅度和相位。它的真实部分是抵抗力,并且虚构部分是电抗从阻碍机制中出现。
在观察入院VS阻抗时,入场是阻抗的逆(即互惠)。因此,它具有阻抗的相反功能。也就是说,我们可以说它是设备或电路允许的电流流量的量度。入场也测量遗传物质的动态效应极化并在西门子或MHO中测量。奥利弗在1887年12月介绍了这一点。
从阻抗的进入衍生
阻抗由真实的部分组成(抵抗性)和虚构的部分(电抗)。阻抗的符号是Z符号,并且导入的符号是Y符号。
准入也是具有实际部分的阻抗的复数,电法(g)和虚构部分,遗传(b)。
(对电容敏感性和阳性为归纳疯电感而言)
入场三角形
它通过导纳(Y),沟率(B)和电导(G)形成,如下所示。
从入场三角形,
串行电路
当串联的电阻和电感电抗组成时,如下所示。
当电路由串联的电阻和电容电抗组成时,如下所示。
入场并行电路
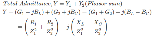
由两个分支组成的电路表示A和B被认为如下图所示。'a'包括归纳抵抗力,xL.和抵抗力,r1和'B'包括电容电抗,xCA.抵抗性,R.2。这电压,V应用于电路。
对于分支A.
对于Branch B.
所以,如果准入一个循环是已知的,然后是总当前的和功率因数可以容易地获得。





