对于某些物理量(重量,压力,运动等),DC电流的模拟表示的仪器中的电路是优选的。这是因为DC电流信号在整个电路中都是恒定的,从源到负载。电流传感仪器也具有较少噪声的优点。
所以有时候创造是必要的当前的它与一个确定的电压相对应或成正比。为了这个目的电压-电流转换器(也称为V到I转换器)被使用。它可以简单地将电子数据的载体从电压变为电流。
简单的电压电流转换器
当我们讨论他们之间的联系时电压和当前,很明显提到的欧姆定律。
我们都知道,当我们向由电阻器组成的电路提供一个电压作为输入时,成比例的电流将开始流过它。所以,很明显电阻器决定了a中的电流电压源电路或它作为一个简单的电压-电流变换器(即V - I转换器)用于线性电路。
电阻的电路图,它执行简单电压-电流变换器下面表示。在这张图中,电量值,如电压和当前的分别用条形和环形表示。
但实际上,该变换器的输出电流直接取决于电压降跨接负载除输入电压外。因为,VR就变成了
。这就是为什么这个电路被说成是一个不完美的或坏的或被动的版本的原因。
采用运放的电压-电流转换器
一个运放实现简单地将电压信号转换为相应的电流信号。用于此目的的运放是集成电路LM741。这个运放的设计是通过施加电压来保持精确的电流当前的穿过电路。它们有两种类型,下面将详细说明。
浮动负载电压电流转换器
顾名思义,加载电阻器在这个转换电路中是浮动的。也就是电阻Rl不接地。V的电压,在也就是输入电压给非反相的输入端。反相输入端由横跨R的反馈电压驱动l电阻。
这个反馈电压是由负载电流决定的,它与V是串联的D,即输入差电压。所以这个电路也被称为电流串联负反馈放大器。
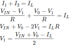
对于输入回路,电压方程为
由于A非常大,
所以,
从那以后,输入到op-amp.,
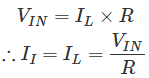
由上式可知,负载电流取决于输入电压和输入电压电阻。也就是说,负载电流,
,这是输入电压。负载当前的由此控制电阻器这里,比例常数是1/R。所以,这个转换电路也被称为Trans-电法放大器。该电路的其他名称是电压控制电流源。
负载类型可以是电阻性的,电容或非线性负载。负载类型在上述等式中没有作用。连接的负载是电容器然后它会以一个稳定的速率进行充放电。由于这个原因,转换电路被用于生产锯齿和三角波形。
电流转换器的接地负载电压
这种V到I转换器也被称为豪兰德电流转换器。在这里,负载的一端总是接地的。对于电路分析,我们必须首先确定电压V在这样就可以实现输入电压与负载电流之间的关系或连接。
为此,我们申请基尔霍夫电流定律在节点V处1
对于非反相放大器,增益为
在这里,电阻,
。
所以,
。因此输出中的电压将是
因此,由上式可知,当前的Il与电压V有关在和电阻器,R。





