BCD是二进制编码的十进制数,其中十进制数的每个数字由其等效二进制数遵守。这意味着,十进制数的LSB由其等效二进制数表示,并且类似地,十进制数的其他更高的十进制数量也由它们的等同物表示二进制数字。
例如,14的BCD代码是 -
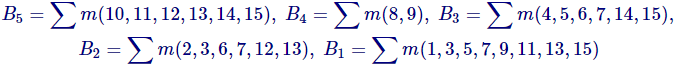
让我们设计一个4位二进制到BCD代码转换器。由于4位可以表示0到15,我们可以如下绘制转换表,
在这里,B5.位代表十进制数和B的MSB4.,B.3.,B.2,B.1表示十进制数的LSB的4位二进制等效物。
从上面的转换表中,我们可以为不同的BCD代码编写SOP表单。





