我们主要熟悉的数字系统是十进制数字系统。十进制数字系统具有十个基础,暗示有十个数字,我们可以代表任何数量的十进制家庭。这些数字为0到9.表示是(15)10.基座10被写为后缀或基数。如果没有写入,那么默认情况下必须明白它是默认情况下的十进制数字。
另一方面,1679年由Gottfried Leibniz发明的二进制数有两个底座。“BI”意味着两个所以从那里我们可以说二元系统的基础是2。即,只有两个数字足以表示二进制格式的数字。二进制数字系统中使用的数字为0和1。
二进制数可以通过将2放入表示基座的前缀中来表示。如果没有给出基础,那么默认情况下被假定为十进制数。我们必须在编写二进制数时非常小心,可能会导致非常严重的错误。例如,二进制数量如下写入:(00110)2。
现在可能出现一个问题,为什么我们需要二进制数?我们拥有十进制数字系统,熟悉我们所有人,大多数人都不理解二进制。答案是任何可编程设备或处理器都可以在高或低的两种模式下工作。
这里,高表示电源连接到该点,并且低表示点接地或处于零伏的状态。这被称为正逻辑,并且在其他逻辑系统中,被称为负逻辑系统的反向。
此外,我们可以说高意味着它执行一些函数或工作,低指示它没有执行任何工作。如果我们采用负逻辑系统,则反向可能是如此。
因此,从以上描述,我们可以说使用更容易和方便二进制数字系统在计算机而不是十进制中,也需要转换,以便以二进制形式给出的输出结果应转换为小数以便用户。
二进制到十进制转换
转换整数数字
就像你一样将任何二进制数转换为十六进制, 要么将二进制数转换为八进制数,二进制数字系统中的任何数字都可以转换为十六进制数系。
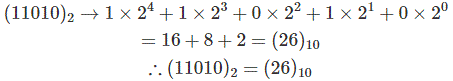
这种转换也是非常简单的方法。让,二进制数是(11010)2,来自大多数有效位的二进制数字的重量是24.,23.,22,21,20.分别。
现在,位乘以它们的权重,并且这些产品的总和是相应的十进制数。现在让我们在数学上遵循以下步骤:
因此,(26)10.是所需的十进制数。这是如何执行二进制转换的二进制转换。
作为另一个例子,我们转换二进制数(1110)2到十进制数:
将二进制数转换为十进制数
将十进制点数转换为小数
这也可以以相同的方式完成,但是在小数点之后,数量应该乘以2-1,2-2等等
例如,
二进制转换小数
整数十进制数到二进制数
将数字划分为2,只要剩下的时间,如果划分就完成而不是只采取给出二进制数的剩余部分。
假设我们正在转换十进制数(87)10.。我们将87划分为2,并获得43作为商品,1作为其余部分。如下所示,这些剩余物写在旁边。
余数的可能性(87)10.=(1010111)2只有1和0.因此,数字从上一个剩余部分计数。如1.→0.→1→0.→1→1→这就是如何二进制转换小数已经完成了。
分数十进制数到二进制
在这种情况下,执行连续乘法。要转换的数字乘以基础或二进制数的基数,这是2.取出整数部分或产品的携带,重复相同的过程,直到我们得到整数。例如-
二进制等同物(.95)10.评估如下 -
由于,我们在连续乘法后没有获得整数值,我们可以近似值(.111110 ......)2。
对二进制的负数十进制
如果有负数,我们可以去2的补充表示签名的号码。
示例 - 9 = 0000 1001
1的补充= 1111 0110。
添加1我们得到= 11110111,这是2的补码表示(-9)。





