运算放大器被广泛用作主要的建筑构件数模转换器。数模转换器是一种以集成电路形式将数字信号转换为等效模拟信号的电子器件。的DAC可以通过很多方式实现。最受欢迎的数模转换器电路二进制加权梯子。
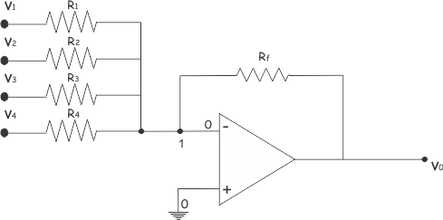
这基本上是一个加法放大器设计合适的抗性如下图所示。
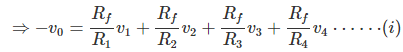
现在,应用基尔霍夫电流定律在上述电路的节点1处,我们得到:
在通过上述电路之前数模转换器,让我们放一些合适的不同的价值观电阻连接在电路中。
比如,Rf= 10 kΩ,R1= 10 kΩ,R2= 20 kΩ,R3.= 40Kω和R4= 80 kΩ。
将这些值代入(i)式,
现在,我们也来应用一下电压在输入端0伏或1伏。在所有输入端输入0伏,v1v = 0,2v = 0,3.= 0 and v4= 0)我们得到,
所以,对于数字输入0000,我们得到模拟输出0伏。最后输入仅为1V(即v1v = 0,2v = 0,3.= 0 and v4= 1V),我们得到,
同样,v的1v = 0,2v = 0,3.v = 1,4= 0
因为,v1v = 0,2v = 0,3.v = 1,4= 1
通过这种方式,输入和相应的输出可以在一个表中表示,如下所示。
| 二进制输入[v1v2v3.v4] | 十进制值 | 输出(- v0) |
| 0000 | 0 | 0 |
| 0001 | 1 | 0.125 |
| 0010 | 2 | 0.25 |
| 0011 | 3. | 0.375 |
| 0100 | 4 | 0.5 |
| 0101 | 5 | 0.625 |
| 0110 | 6 | 0.75 |
| 0111 | 7 | 0.875 |
| 1000 | 8 | 1.0 |
| 1001 | 9 | 1.125 |
| 1010 | 10 | 1.25 |
| 1011 | 11 | 1.375 |
| 1100 | 12 | 1.5 |
| 1101 | 13 | 1.625 |
| 1110 | 14 | 1.75 |
| 1111 | 15 | 1.875 |
因此,对于每个十进制数,都有一个唯一的输出电压的水平。从表中还可以看出,从0到15,每增加一个值,输出就增加一个值电压电平0.125伏。
因此,输出是模拟的,它与数字输入的十进制等价值成线性比例。上面的例子是4位的DAC。一个四位DAC可以如下所示。





