在网络,暂态和系统的解中有时我们可能对找出整个时间函数f(t)不感兴趣拉普拉斯变换F(s)对于解是可行的。很有趣的是我们可以求出f(t)的第一个值或最后一个值或它的导数而不需要求出整个函数f(t)在本文中,我们感兴趣的是找出最终值及其导数。
举个例子:
如果F(s)已知,我们想知道F(∞)是什么,而不知道函数F(t),也就是t→∞时的拉普拉斯逆变换。这可以通过使用拉普拉斯变换的性质来实现终值定理。终值定理初始值定理一起被称为极限定理。
拉普拉斯变换终值定理的定义
如果f(t)和f'(t)都是拉普拉斯可变换的,且sF(s)在jw轴和右半平面上没有极点,那么,
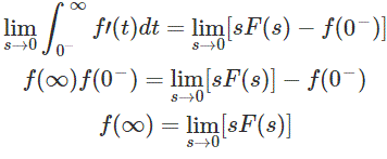
拉普拉斯变换终值定理的证明
我们知道拉普拉斯变换的微分性质
请注意
这里的极限是0- - - - - -是否要考虑t = 0时的脉冲
现在我们取s→0时的极限。然后e-→1,整个方程是这样的
指出,记住:
- 为了应用FVT,我们需要确保f(t)和f'(t)是可变换的。
- 我们需要确保最终的值存在。Final值在以下情况下不存在
如果sF(s)在s平面的右侧有极点。(例3)
如果sF(s)在jw轴上有共轭极点。【例4】
如果sF(s)在原点上有极点。【例5】
- 然后应用
拉普拉斯变换终值定理示例
求出给定F(s)的最终值,而无需显式计算F(t)
回答
回答
请注意
在这种情况下,拉普拉斯逆变换很难。我们仍然可以通过定理求出最终的值。
回答
请注意
在例1和例2中,我们也检查了条件,但它满足所有的条件。所以我们克制自己不去明确地表达。但是这里sF(s)在r。h。p上有一个极点因为分母有一个正根。
这里我们不能应用终值定理。
回答
请注意
在这个例子中,sF(s)在jw轴上有极点。就是+2i和-2i。
这里我们不能应用终值定理也
回答
请注意
在这个例子中,sF(s)在原点上有极点。
所以这里我们也不能应用终值定理。
最后的技巧
只要检查sF(s)是否无界。如果是无界的,那么它就不适合终值定理最终的值是无穷大。

