辐照度是辐射通量接收到的探测器区域。的单位辐照度是W / m2。辐照度用E表示e,λ,
φ年代探测器表面接收到的辐射通量和AD是探测器的面积或表面。
辐照度总是遵循平方反比定律。假设a的两个表面从一个点源接收到辐射量1和一个2它们的表面积相等。它们位于r1和r2距离。
现在,通量表面接收
以及表面接收到的通量
我在哪里,e,λ辐射强度和ω立体角。
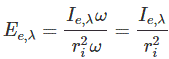
再次辐射通量每单位面积收到的A1和一个2是
在这里1和一个2是相等的。
将φe,λ=我e,λ公式中有ω
这是辐照度的平方反比定律。
如果我们把这个辐照度转换成照度那么我们应该遵循转换方程,即。
在那里,K米为常数,称为最大光谱光效,其值为683 lm/W。
通过定义光通量由单位面积接收的探测器称为照度。
它的单位是每平方英尺的勒克斯或流明。计(lm /平方。米)。
它也遵循同样的平方反比定律,即。
Ev与dA表面有何关系光通量垂直落在这个表面上。
E”v有关表面dA”这个表面创建一个角Ɵ基准平面。
根据上图,
可以将上式写成广义的,





