控制系统的数学建模
物理系统有多种类型,即:
- 机械系统
- 电气系统
- 电子系统
- 热系统
- 液压系统
- 化学系统
首先,我们需要理解——为什么我们需要首先为这些系统建模?控制系统的数学建模是为这些类型的系统绘制框图的过程,以确定它们的性能和传递功能。
现在让我们详细地描述机械系统和电气系统。我们将只推导出机械系统和电气系统之间的类比,这对理解控制系统的理论是最重要的。
机械系统的数学建模
我们有两种机械系统。机械系统可以是线性机械系统也可以是旋转机械类型的系统。
在线性机械系统中,我们有三个变量:
- 力,用F表示
- 速度,用“V”表示
- 线性位移,用‘X’表示
我们还有三个参数:
- 质量,用M表示
- 粘性摩擦系数,用‘B’表示。
- 弹簧常数,用K表示
在旋转机械类型的系统中我们有三个变量:
- 扭矩,用T表示
- 角速度,用ω表示
- 角位移,用‘θ’表示
我们还有两个参数:
- 转动惯量,用J表示
- 粘性摩擦系数,用‘B’表示。
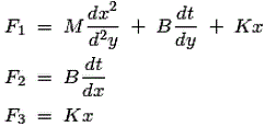
现在让我们考虑如下所示的线性位移机械系统
我们已经在图表本身中标记了各种变量。x是位移,如图所示。根据牛顿第二运动定律,我们可以把力写成-
从下图我们可以看到:
代入F的值1F2和F3.上式中,取拉普拉斯变换我们有传递函数,
这个方程是机械控制系统的数学建模。
电气系统的数学建模
在电气系统中我们有三个变量
- 用“V”表示的电压。
- 电流,用“I”表示。
- 电荷用Q表示。
我们还有三个参数有源和无源元件:
- 电阻用R表示。
- 电容,用‘C’表示。
- 电感,用“L”表示。
现在我们可以推导出电气系统和机械系统之间的相似之处。有两种类型的类比,它们写在下面:
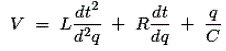
力电压模拟:为了理解这种类型的类比,让我们考虑一个由串联组合而成的电路电阻器,电感器和电容器。
一个电压如电路图所示,V与这些元件串联连接。现在从电路图,在在任一瞬间我们用电荷来表示电压的表达式,电阻,电容器和电感,
现在将上面的结果与我们对机械系统的推导结果进行比较,我们发现
- 质量(M)是类似的电感(左)。
- 力与电压V类似。
- 位移(x)与电荷(Q)类似。
- 摩擦系数(B)与阻力R和类似
- 弹簧常数与电容器(C)的逆类似。
这种类比被称为力电压类比。
力目前模拟为了理解这种类型的类比,让我们考虑一个电路,它由电阻,电感和电容器。
如图所示,一个电压E与这些元件并联。现在从电路图,在氯化钾我们把电流的表达式写成通量、电阻、电容和电感器为,
现在将上面的结果与我们对机械系统的推导结果进行比较,我们发现,
- 质量(M)与电容(C)类似。
- 力与电流I类似。
- 位移(x)与通量(ψ)类似。
- 摩擦系数(B)类似于电阻1 / R和
- 弹簧常数K类似于电感的倒数(L)。
这种类比被称为力电流类比。
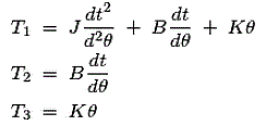
现在让我们考虑如下所示的旋转机械系统,我们已经在图中标记了各种变量。我们有θ是角位移,如图所示。在机械系统中,我们可以将扭矩(类似于力)的方程写成扭矩,
从图中我们可以看到,
代入T的值1T2和T3.上式中,取拉普拉斯变换我们有传递函数,
这个方程是数学建模的电气控制系统。





