该仪器是最原始的测量和继电器仪器之一。移动铁型仪器主要是两种类型。吸引式型和排斥式仪器。
每当一块铁放置到磁体上更靠近,它将被磁铁所吸引。这种吸引力的力取决于强度说磁场。如果磁铁是电磁铁,则通过增加或减少可以容易地增加或减少磁场强度当前通过它的线圈。
因此,作用在铁块上的吸引力也会增加和减少。取决于这种简单的现象吸引力类型移动铁仪器发展了。
每当两块铁并排保持并使磁铁带到更接近的时候,铁件将彼此拒绝。这种排斥力是由于相同的磁极在相同的侧面,铁件作为外部磁场。
如果磁体的场强增加,这种排斥力会增加。就像磁铁是电磁铁一样的情况一样磁场通过将输入电流控制到磁体来容易地控制强度。因此,如果电流增加了铁片之间的排斥力,则电流降低它们之间的排斥力。取决于这种现象排斥类型移动铁仪器被建成了。
移动铁仪的施工
引用了吸引力型移动铁仪的基本构造
薄圆盘在线圈前偏心枢转。当电流流过线圈时,该铁倾向于向内移动到较弱的磁场以更强的磁场。在吸引力移动仪器中,先前使用重力控制,但现在通过相对现代仪器中的弹簧控制取代了重力控制方法。通过调整余额,实现指针的零点偏转。通过空气摩擦,在该仪器中提供所需的阻尼力。该图示出了在仪器中提供的典型类型的阻尼系统,其中阻尼通过空气注射器中的移动活塞实现。
吸引力型移动铁仪理论
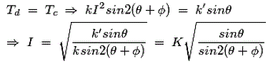
假设当通过线圈没有电流时,指针处于零,由垂直于该字段的线的铁盘轴制成的角度是φ。现在到期的电流我和相应的磁场强度,铁片偏转到角度θ。现在H在偏转的铁盘轴方向上的H组件是HCOS {90 - (θ+φ)或Hsin(θ+φ)。现在,在向内向线圈上的力F作用在线圈上是成比例的2SIN(θ+φ)因此,力也与i成比例2SIN(θ+φ)用于恒定渗透性。如果该力在距离枢轴的距离L上作用在盘上,则偏转扭矩,
由于L是恒定的。
其中,k是恒定的。
现在,随着仪器的重力控制,控制扭矩将是
其中,k'是恒定的。
在稳定状态下,
其中,k是恒定的。





