节点分析的定义
节点分析是否有一种方法提供了使用节点分析电路的一般程序电压作为电路变量。节点分析也被称为节点电压法。
节点分析的一些特点是
- 节点分析是基于应用的吗基尔霍夫电流定律(氯化钾)。
- 如果有n个节点,那么就有n-1个联立方程需要解。
- 求解' n-1 '方程可以得到所有节点的电压。
- 非参考节点的个数等于可以得到的节点方程的个数。
节点分析中的节点类型
- 非参考节点-它是一个具有确定节点电压的节点。例如,这里节点1和节点2是非参考节点
- 参考节点,它是作为所有其他节点的参考点的节点。它也被称为基准节点。
参考节点类型
- 机壳接地,这种参考节点充当多个电路的公共节点。
- 地球地面,在任何电路中,当地电位用作参考时,这种参考节点称为接地。
用节点分析解决电路问题
节点分析的基本步骤
- 选择一个节点作为参考节点。分配电压V1, V2第五……n - 1剩下的节点。电压是相对于参考节点的参考。
- 对每个非引用节点应用KCL。
- 使用欧姆定律用节点电压表示支路电流。
Node总是假设电流从高电势流向低电势电阻器。因此,当前的表示如下
4应用欧姆定律得到了节点电压和节点电压的“n-1”节点方程抗性。
V。求解节点电压值的‘n-1’节点方程,得到所需的节点电压。
节点分析与当前来源
节点分析与当前来源非常简单,下面用一个例子来讨论它。
例子:计算后续电路中的节点电压
在下面的电路中,我们有3个节点,其中一个是参考节点,其他两个是非参考节点-节点1和节点2。
我一步。指定节点电压为v1和2并标记出支路电流相对于参考节点的方向
第二步。将KCL应用于节点1和节点2
节点1的KCL
节点2的KCL
第三步。将欧姆定律应用于KCL方程
•欧姆定律对节点1处的KCL方程
化简上述方程,我们得到:
•现在,从节点2的欧姆定律到KCL方程
把上面的方程化简,我们得到
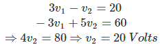
第四步。现在解方程3和4得到v的值1和v2为,
用消元法
代入值v2在(3)式中,我们得到-
因此节点电压为v1= 13.33伏特和v2= 20伏。
电压源节点分析
情况下我。如果一个电压源在参考节点和非参考节点之间连接,我们简单地设置非参考节点的电压等于电压源的电压,它的分析可以像我们所做的那样电流源。v1= 10伏特。
案例二世。如果电压源在两个非参考节点之间,则构成一个超级节点,分析如下
Supernode分析
超级节点的定义
当一个电压源(独立或依赖)连接在两个非参考节点之间,那么这两个节点形成一个广义节点称为超级节点。因此,超级节点可以看作是一个包住电压源及其两个节点的曲面。
在上图中,5V电源连接在两个非参考节点Node - 2和Node - 3之间。所以这里Node - 2和Node - 3组成了超级节点。
Supernode的属性
- 在超级节点上,两个非参考节点之间的电压差总是已知的。
- 超级节点本身没有电压
- 超级节点需要KCL和在任一瞬间来解决这个问题。
- 任何元件都可以与电压源并联形成超级节点。
- 超级节点像一个简单节点一样满足KCL。
如何解决任何含有超级节点的电路
让我们举个例子来理解如何解决含有超级节点的电路
在节点1和节点2之间连接2V电压源,并与10Ω电阻并联形成超级节点。
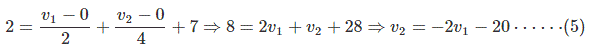
注意:与之平行连接的任何元素电压源形成超级节点没有任何区别,因为v2- - - - - - v1= 2V总是…的值电阻器。因此去掉10Ω,重新绘制电路,并将KCL应用到超级节点上,如图所示,
用节点电压表示和。
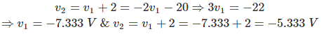
从方程5和6我们可以写成
因此,v1= - 7.333V和v2= - 5.333V,这是必须的答案。





