在为特定应用程序购买JFET期间,我们需要检查设备的规格。这些规格由制造商提供。以下是用于指定JFET的参数,这些参数
闸门切断电压
在固定漏极电压下,漏极电流(ID.)JFET取决于栅极到源电压(VGS.)。如果栅极到源电压在N通道JFET中从零度减小,则漏极电流也相应地降低。下面给出了栅极到源电压和漏极电流之间的关系。在某个栅极到源电压之后(vGS.),排水电流iD.变为零。该电压被称为切断栅极电压(V.gs(关闭))。该电压数值等于挤压漏极源电压(V.P.)。在P通道JFET的情况下,如果我们从零增加栅极端子电压,漏极电流会降低并且在特定栅极到源电压之后,漏极电流变为零。该电压是P通道JFET的截止栅极电压。它是P通道JFET的栅极切断电压。
短路栅极排水电流
当门终端接地时(VGS.= 0)和正漏电到源电压(vDS.)在N通道JFET的情况下缓慢增加,漏极电流线性地增加。但夹出电压后(vP.),漏极电流不会进一步增加并获得恒定值。这是当栅极端子处于地电位时可以流过通道的最大漏极电流。该电流为JFET固定,这被称为短路栅极漏极电流,通常由I表示DSS.。
跨导
跨导是漏极电流变化的比率(ΔID.)要在栅极中更改为源极电压(ΔVGS.)在恒定的漏极电压下(vDS.=常数)。
此值最大为vGS.= 0。这是由g表示莫。最大值(g莫)在JFET数据表中指定。栅极的任何其他值的跨导到源电压(gm)可以如下确定。排水电流的表达(iD.)是
通过部分区分排水电流的表达(ID.)关于栅极源电压(VGS.)
一台电视GS.= 0,跨导获得其最大值,即
因此,我们可以写,
动态输出电阻
这是排水管变化与源极电压的比率(ΔVDS.)到漏极电流的变化(ΔID.)在常数栅极到源电压(vGS.=常数)。该比率表示为rD.。
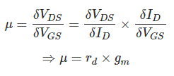
放大因子
放大因子定义为漏极电压的变化比(ΔVDS.)更改栅极电压(ΔVGS.)在恒定的漏极电流(iD.=常数)。
跨导之间存在关系(Gm)动态输出电阻(RD.)并且可以以下列方式建立。




