电感质量因素
每一个电感器除了它的电感之外,具有少量的电阻。较低的值越低反抗R,线圈的质量越好。这质量因素或者Q系数的电感在工作频率Ω处定义为比例电抗线圈到其电阻。
因此,对于电感,质量因素表示为,
其中,L是亨利斯中线圈的有效电感,R是线圈在欧姆中的有效电阻。随着阻力和电抗的单位是欧姆,Q是无量纲比例。
Q因子也可以定义为
让我们证明上述表达式。为此,我们考虑频率ω弧度/秒的正弦电压V /秒电感器l有效的内部反抗R如图1(a)所示。让结果峰值当前的通过电感是我m。
然后存储在电感器中的最大能量
图1. RL和RC电路连接到正弦电压源
每个周期的电感器中的平均功率散发
因此,能量消散在电感器每个周期
因此,
电容器的质量因子
图1(b)。显示A.电容器C与小型串联电阻R相关联。这Q系数或者电容器的质量因子在工作频率ω,定义为电容器的电抗与其串联电阻的比率。
因此,
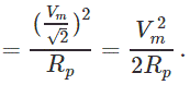
在这种情况下,Q是自两个电抗的单位以来的无量纲量反抗是一样的,它是欧姆。等式(2)在这种情况下给出Q的替代定义也很好。因此,对于图1(b)的电路,在施加值V伏的正弦电压和频率ω,存储在电容器中的最大能量。
在哪里,五m是最大值电压在这边电容C。
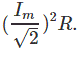
但如果
然后
在哪里,我m是通过C和R的最大值。
因此,存储在电容器C中的最大能量是
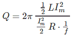
每个周期的能量消散
因此,电容器的质量因子是
通常,有损电容器由具有高电阻R的电容C表示P.在分流中如图2所示。
然后对于图2的电容器,存储在电容器中的最大能量
在哪里,五m是施加电压的最大值。抵抗力耗散的平均功率P.。
图2.表示有损电容器的替代方法
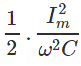
每个周期的能量消散
因此,




