获得的星形连接系统的线、相电流和电压之间的关系我们首先要画一个平衡的星形连通系统。
假设由于负载阻抗,电流比系统各相位的施加电压宽一个角。由于我们已经考虑到系统是完全平衡的,所以各相的电流和电压的大小是相同的。我们说,红色相位上电压的大小也就是电压中性点(N)与红相端子(R)之间为VR。
同样,黄色相位的电压大小是VY蓝色相中电压的大小是VB。
在平衡的恒星系统中,各相位电压的幅值为Vph值。
∴VR= VY= VB= Vph值
我们知道在星形连接中,线电流和相电流是相等的。这个的大小当前的三个阶段都是一样的,说它是我吗l。
∴我R=我Y=我B=我l在那里,我R线电流为R相,IYY相和I的线电流是B为B相线电流。相电流Iph值与线电流I相等l在星形连接系统中。
∴我R=我Y=我B=我l=我ph值。
现在,我们说,星形连接电路的R和Y两端的电压是V变化中。
星形连接电路的Y和B端电压为VYB < !
星形连接电路的B端和R端电压为VBR。
从图中可以看出
V变化中= VR+(−VY)
同样,VYB= VY+(−VB)
和VBR= VB+(−VR)
V的夹角R和VY是120o(电),V的夹角R和- - - VY是180o- 120o= 60o(电)。
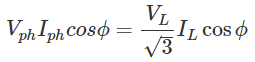
因此,对于星接系统线路电压=√3 ×相电压。
行电流=相电流
如,每相电压与电流的夹角为φ,每相电功率为
总幂三相系统是





