当电力系统出现短路故障时,就会出现巨大的短路当前的流过系统包括断路器(CB)触点,除非通过脱扣CB来消除故障。当短路电流流过CB时,断路器的不同载流部位会受到巨大的机械和热应力。
如果CB的导电部分没有足够的截面积,可能会有危险的高温上升的机会。这种高温可能会影响CB的绝缘质量。
CB触点温度也很高。CB触头的热应力与I成正比2Rt,其中R是触点电阻,取决于接触压力和接触面条件。我是均方根值t为短路电流的持续时间短路电流已经通过了接触。
启动故障后,短路电流一直保持到CB的分断单元断开。因此,时间t为打破的时间断路器。由于这段时间在毫秒尺度上非常小,因此假定故障期间产生的所有热量都被地震波吸收导体因为没有足够的时间进行传热和辐射。
温升可由下式确定:
式中,T为每秒的温升,单位是摄氏度。
我是当前的(均方根对称)单位为安培。
A是导体的截面积。
是…的温度系数电阻率售票员在20oC。
正如我们所知,160以上的铝oC失去其机械强度而变软,希望将温升限制在这个温度以下。这个要求实际上设定了短路时允许的温升。通过控制CB断裂时间,合理设计导线尺寸,可以达到这一极限。
短路力
电磁力在两条平行线之间产生载流导线,由公式给出,
式中,L为两导体的长度,单位为英寸。
S是它们之间的距离,单位为英寸。
I是每一个所携带的电流导体。
实验证明,当短路电流I为初始值的1.75倍时,电磁短路力最大均方根值对称短路电流波。
然而,在某些情况下,有可能产生大于这些的力,例如,在非常坚硬的杆的情况下,或由于机械振动的杆的共振。实验还表明,交流电在施加或消除力的瞬间在非共振结构中产生的反应可能超过电流流动时所经历的反应。
因此,明智的做法是错误从安全的角度考虑,并考虑到所有的意外情况,在这种情况下,人们应该考虑到由不对称短路电流的初始峰值可能产生的最大力。可以认为这个力的值是由上述公式计算出的力的两倍。
该公式对于圆形截面导体是非常有用的。虽然L是一个有限长度的导体部分平行运行,但公式只适用于假设每个导体的总长度为无限的情况。
在实际情况中,导体的总长度不是无限的。我们还考虑到,在终点附近的通量密度载流导体和中间部分有很大的不同。
因此,如果我们对短导体使用上述公式,计算的力将远远高于实际。
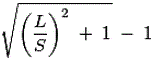
可以看出,如果我们使用术语,这个误差可以大大消除,
用上述公式代替L/S。
公式就变成了,
用式(2)表示的公式为错误当L/S大于20时,自由结果。当20 > L/S > 4时,公式(3)适用于无误差结果。
当L/S < 4时,公式(2)适用于无误差的结果。以上公式仅适用于圆形截面导线。但对于矩形截面导体,公式需要有一定的修正系数。假设这个因子是k,则上述公式最终变成,
虽然导线截面形状的影响随着导线间距的增大而迅速减小导体对于厚度小于宽度的带状导体,K值最大。当导体截面形状为完全平方时,K可以忽略不计。K是完全圆形截面导体的统一。这对standard和遥控断路器。





