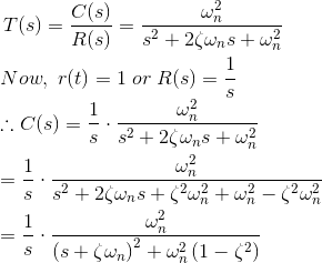
一个顺序控制系统由'的力量决定S'它的分母传递函数。如果在分别的转移函数中的功率控制系统是2,然后据说系统二阶控制系统。给出了二阶控制系统的传递函数的一般表达式
这里是ζ和ωN是系统的阻尼比和自然频率(我们将在稍后详细了解这两个术语)。重新排列上面的公式,系统的输出为
以此为基础,我们将分析二阶控制系统的时间响应。将通过在频域分析二阶控制系统的单位阶跃响应来做到这一点,然后将其转换到时域。
二阶系统的阶跃响应
如果我们考虑一个单位逐步函数作为系统的输入,那么系统的输出方程可以被重写为
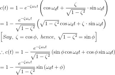
以逆拉普拉斯变换根据上面的方程,我们得到
可以将上述输出C(t)的表达式重写为
响应信号的误差由e(t) = r (t) - c(t)给出,因此。
由上式可知,当ζ < 1时,信号的误差是指数衰减的振荡型。振荡的频率是ωD.指数衰减的时间常数是1/ ωN。在那里,ωD.,是指振荡的阻尼频率,ωN是振荡的自然频率。术语ζ影响很多,因此该术语称为阻尼比。
输出信号会有不同的行为,这取决于阻尼比的值,让我们逐一检查每一种情况。
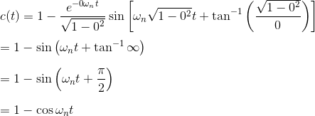
当阻尼比为零时,可以将上述输出信号表达式改写为
与此表达式一样,没有指数项,控制系统的时间响应是针对单位步进输入函数的零阻尼比的时间响应。
Page 137.图6.4.3。
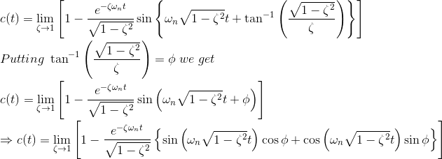
现在让我们在阻尼比率为Unity时检查这种情况。
在此输出信号表达式中,主观单位阶跃函数中不存在振荡部分。因此,这种二阶控制系统的时间响应称为临界阻尼。
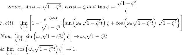
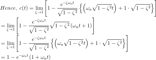
现在我们将研究一个二阶控制系统的主观单位阶跃输入函数在阻尼比大于1时的时间响应。
采取倒立拉普拉斯变换我们得到的上述等式的两侧,
在上面的表达式中,有两个时间常数。
对于ζ相对大于1的值,可以忽略较快的时间常数对时间响应的影响,最终得到时间响应表达式
图6.4 .5的第139页
控制系统的临界阻尼时间响应
下面给出了由单位步进输入功能的二阶控制系统的时间响应表达式。
输出信号误差部分的指数项负幂常数的倒数实际上是输出响应阻尼的原因。在这个方程中,ζ是ωN。误差信号中指数项负幂的常数的倒数称为时间常数。我们已经讨论过,当ζ(也叫阻尼比)小于单位时,响应的振荡随时间常数1/ζω指数衰减N。这是在阻尼响应下调用的。
另一方面。当ζ大于单位时,单位阶跃输入对系统的响应,不表现出振动部分。这叫做过阻尼响应。我们也讨论过阻尼比为单位ζ = 1的情况。在这种情况下,响应的阻尼由固有频率ω决定N只要。该条件的实际阻尼称为响应的临界阻尼。
由于我们已经在控制系统的时间响应的相关表达式上进行了输入步骤功能,因此当阻尼比(ζ)小于一个时,振荡部分存在于响应中,并且在阻尼比时不存在于响应中等于一个。这意味着当阻尼比变为统一时,响应的振荡部分刚刚消失。这就是为什么阻尼在ψ= 1时的响应,称为临界阻尼。
更确切地说,当阻尼比是统一时,响应是严重阻尼的,然后将阻尼被称为临界阻尼。临界阻尼对实际阻尼的时间常数与阻尼比的比率被称为阻尼比。随着控制系统的时间响应的时间常数为1 /ΩN当ζζ1和时间常数为1 /Ω时N当ζ= 1时。
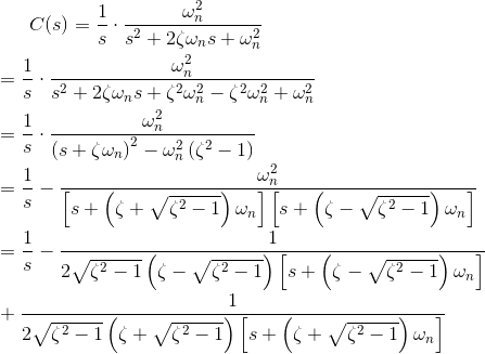
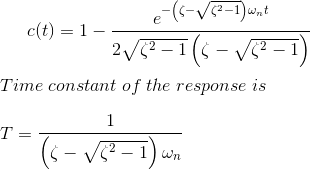
二阶系统传递函数
给出了二阶控制系统传递函数的一般方程
如果表达的分母为零,
方程的这两个根或者说s的这两个值代表了这个系统的传递函数的极点。根的实部代表阻尼,虚部代表阻尼频率。
用于各种值的特性方程的根的位置ζ保持ωN固定和对应的二阶控制系统的时间响应如下图所示。
图8.4.7的Page 140
二阶控制系统瞬态响应规范。
控制系统的性能可以在单位步骤输入功能的瞬态响应中表示,因为它易于生成。让我们考虑一个二阶控制系统,其中给出了单位步骤输入信号,并且还认为系统最初静止。这是系统的所有初始条件为零。下面绘制了在阻尼条件下的系统的时间响应特性。
图2.17的第92页的书由哈桑自动控制系统。
在瞬态响应特性中有许多共同的术语,它们是
- 延迟时间(T.D.)是时间响应信号在其第一个振荡周期内达到其最终值的50%所需要的时间。
- 上升时间(T.R.)在其第一个振荡循环期间,在阻尼时间响应信号下达到最终值所需的时间。如果信号过度阻尼,则将上升时间视为响应从最终值的10%到90%所需的时间计算。
- 高峰时段(T.P.)仅仅是响应达到其第一个峰的时间所需的时间。振荡循环的峰值或首先过冲。
- 最大超调(M.P.)是时间响应的最高峰值的大小与其稳态的大小之间的直线差。最大过冲以响应稳态值的百分比表示。由于第一峰值的响应峰值通常在幅度最大,因此最大过冲是响应的第一峰值和稳态值之间的简单归一化差异。
- 沉淀时间(T.S.)是响应变得稳定所需的时间。它被定义为响应所需的时间达到,在指定范围内达到,在其最终值的2%至5%的范围内。
- 稳态错误(E.SS.)是实际输出和无限时间范围内的所需输出之间的差异。
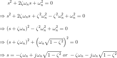
上升时间公式
含单位阶跃输入函数的欠阻尼二阶控制系统的表达式,
同样,根据定义,Rice时刻的输出信号的幅值是1。也就是c(t) = 1
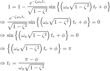
高峰时间公式
根据定义,在峰值时间,响应曲线达到最大值。因此在这一点上,
最大过冲在n = 1时发生。
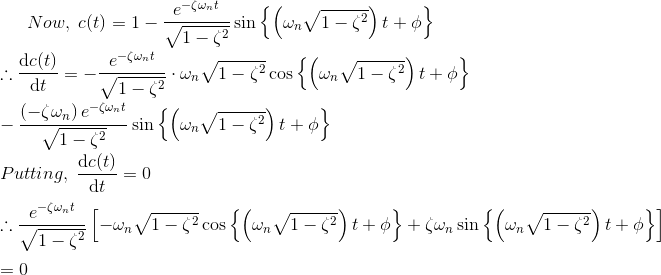
最大超调的公式
将峰值时间的表达式代入输出响应c(t)的表达式中,得到:
沉淀时间公式
我们已经定义了响应的稳定时间是响应达到稳定状态且值超过其最终值近98%的时间。我们还观察到,这个持续时间大约是信号时间常数的4倍。二阶控制系统的时间常数为1/ζ ωN,沉降时间到期时,可表示为




































