我们已经讨论过了傅里叶级数指数形式。在本文中,我们将讨论另一种形式的傅里叶级数。三角函数的傅里叶级数。
三角形式的傅立叶级数表示
三角形式的傅里叶级数可以很容易地从它的指数形式导出。复指数傅立叶级数表示周期为t的周期信号x(t)o是由
因为正弦和余弦可以用指数形式表示。因此,通过处理指数傅里叶级数,我们可以得到它的三角形式。
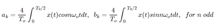
的三角函数的傅里叶级数周期信号x (t)的基本周期为t的表示,由
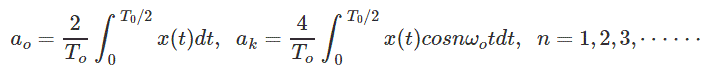
一个k和bk傅里叶系数是由什么给出的
一个0信号的直流分量是由
傅里叶级数的性质
1.如果x(t)是偶函数即x(- t) = x(t)那么bk= 0和
2.如果x(t)是偶函数即x(- t) = - x(t)那么一个0= 0,k= 0和
3.如果x(t)是半对称函数即x(t) = -x(t±t0/ 2)一个0= 0,k= bk当k为偶数时= 0,
4.线性
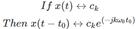
5.时间改变
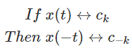
6.时间反转
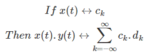
7.乘法
8.动词的词形变化
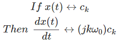
9.分化
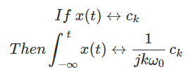
10.集成
11.周期性的卷积
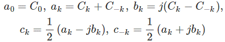
指数型系数与三角型系数的关系
当x (t)是实数时,那么a和b都是实数
信号轴移位的影响
- 在将波形相对于参考时间轴t = 0左右移动时,只有频谱的相位值发生变化,但幅度谱保持不变。
- 当波形向上或向下移动w.r.t时间轴时,只改变函数的直流值。





