电压下降表示电压或电压损耗的降低。由于存在阻抗或被动元素,会有一些损失电压作为当前移动通过电路。
也就是说,从中提供的能量电压源随着电流流过电路,将变为减少。电压降太大可能导致电气和电子设备的损坏和不当功能。基本上,这是电压降计算是由欧姆的法律。
直流电路中的电压降
在直流电路中,电压降的原因是抵抗性。为了了解DC电路中的电压下降,我们可以参加一个例子。假设由DC源组成的电路,2电阻器串联连接和负载。
这里;电路的每个元素都有一定的阻力,它们会收到并失去一些值。但能量值的决定因素是元素的物理特征。当我们测量的时候电压在直流电源和第一电阻上,我们可以看到它将小于电源电压。
我们可以通过测量各个电阻器跨越电压来计算,每个电阻消耗的能量。虽然这一点当前从直流电源开始流过到第一电阻的电线,由于导体阻力,由源给出的一些能量被消散。验证电压下降那欧姆的法律和Kirchhoff的电路法使用在下面简要介绍。
欧姆的法律是由
V→电压降(v)
r→电阻(ω)
I→电流(a)
对于直流关闭电路,我们也使用Kirchhoff的电路法对于电压降计算。它如下:
电源电压=电路每个部件上的电压降的总和。
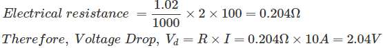
直流电源线的电压降计算
在这里,我们正在举例为100英尺的电源线。所以;对于2线,2×100英尺。让电阻为1.02Ω/ 1000英尺,电流为10 A.
交流电路中的电压降
在交流电路中;除了阻力(r)外,还将有第二个反对流动当前-电抗(x)包含xC和X.L.。x和r都将反对当前流量,两者的总和称为阻抗(z)。
XC→电容电抗
XL.→电感电抗
z的数量取决于诸如的因素磁性渗透性,电隔离元件和AC的频率。
如同欧姆的法律在DC电路中,这里给出
e→电压降(v)
Z→电阻(Ω)
I→电流(a)
一世B.→满载当前(一种)
r→抵抗性电缆导体(Ω/ 1000英尺)
L→电缆长度(一侧)(KFT)
X→电感电抗(Ω/ 1000F)
V.N→相位到中性电压
你N→相位电压
φ→负载相角
圆形密耳和电压降计算
循环密耳真的是一个区域的单位。它用于引用电线的圆形横截面积或导体。使用MILS的电压降
l→线长(FT)
k→特定电阻率(Ω-圆形米尔/脚)。
P→相位常数= 2对于单相= 1.732意味着三相
I→电线区域(圆形米尔)
表中铜导线的电压降计算
铜线(导体)的电压下降可以如下发现:
F是我们从下面的标准表中获得的因素。
| 铜导线的尺寸 | 因子,F. | ||
| 棒子 | mm2 | 单相 | 三期 |
| 14. | 2.08 | 0.476 | 0.42 |
| 12. | 3.31 | 0.313 | 0.26 |
| 10. | 5.26 | 0.196 | 0.17 |
| 8. | 8.37 | 0.125 | 0.11 |
| 6. | 13.3 | 0.0833 | 0.071 |
| 4. | 21.2 | 0.0538 | 0.046 |
| 3. | 0.0431. | 0.038 | |
| 2 | 33.6 | 0.0323 | 0.028 |
| 1 | 42.4 | 0.0323 | 0.028 |
| 1/0 | 53.5 | 0.0269 | 0.023 |
| 2/0 | 67.4 | 0.0222 | 0.020 |
| 3/0 | 85.0 | 0.019 | 0.016 |
| 4/0 | 107.2 | 0.0161 | 0.014 |
| 250. | 0.0147. | 0.013 | |
| 300 | 0.0131. | 0.011 | |
| 350. | 0.0121 | 0.011 | |
| 400 | 0.0115 | 0.009 | |
| 500. | 0.0101 | 0.009 | |





