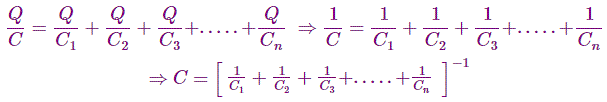
电容串联
让我们连接n个电容串联。在这个串联电容器上加V伏。
让我们考虑电容C1C2C3.C……n,电容器串联组合的等效电容为c电压降在电容器被认为是V1, V2, V3.V……n,分别。
现在,如果Q库仑是从源流过这些电容的电荷,
由于每个电容器和I个串联电容器所累积的电量相等,故取Q。
(i)式可以写成:
并联电容器
电容器被设计成以电场的形式储存能量,即静电能。当需要增加静电储能容量时,就需要一台容量增大的合适的电容器。电容器是由两块平行连接的金属板组成,中间由玻璃、云母、陶瓷等介质隔开。电介质在极板之间提供了一种非导电介质,并具有独特的容纳电荷的能力,而电容存储电荷的能力被定义为电容的电容。当一个电压源通过电容器的板连接,一个正电荷在一个板上,和负电荷在另一个板上得到沉积。累积的总电荷量(q)与电压源(V)成正比,
式中,C为比例常数,即电容。它的价值取决于电容的物理尺寸。
其中ε=介电常数,A =有效板面积,d =板间间距。
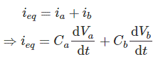
增大一个电容器的电容值,两个或两个以上电容器是并联的当两个相似的极板连接在一起时,它们之间的有效重叠面积增加,间距不变,因此它们的等效电容值是单个电容的两倍(C∝A)。电容器银行利用在各制造业和加工业包含电容器并联,所以提供一个理想的电容值需要通过调节连接的电容器并联连接,因此它是利用高效的静态补偿器在电力系统无功功率平衡补偿。当两个电容器并联,然后电压(V)跨每个电容器是相同的,即(V情商= V一个= Vb)和现行的(i情商)分为两部分一个和我b。众所周知
将(1)式中q的值代入上式,
后一项变为零(因为电容的电容是恒定的)。因此,
应用基尔霍夫电流定律在并行连接的传入节点上
最后我们得到了,
因此,当n个电容器并联时,整个连接的等效电容由下式给出,类似于串联时电阻的等效电阻。
并联电容器等效电容表达式的求法
让我们连接n个并联电容器,在一个电压源V的伏特。
假设电容器的电容为C1C2C3.C…n,电容器组合的等效电容为c电容器是并联的,就像电流充电在每个电容器将是相同的。并联组合的总电荷,将根据它的电容值划分在每个电容器,但跨每个电容器的电压将是相同的,在稳态条件下它完全等于应用电压。
在那里,问1,问2,问3.,……问n电容器C的电荷是多少1C2C3.…Cn分别。
(2)式可以写成:

