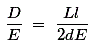
什么是阴极射线示波器?
一种阴极射线示波器(CRO)是一种通常用于实验室显示、测量和分析各种波形的仪器电路.阴极射线示波器是一种非常快的X-Y绘图器,可以显示输入信号对时间或另一个信号。
阴极射线示波器使用的光点是通过击打电子束而产生的,这个光点在输入量的响应变化中移动。这时我们脑海中必然出现一个问题:为什么我们只使用电子束?这背后的原因是电子束的低效应,可以用来跟踪快速变化的输入量的瞬时值的变化。一般形式的阴极射线示波器是在电压.
所以输入量,我们上面说的是电压。如今,在传感器它可以转换各种物理量,如当前的,压力,加速度等,从而使我们有一个可视化的表示上的这些不同的量阴极射线示波器.现在让我们看一下阴极射线示波器的构造细节。
阴极射线示波器的施工
阴极射线示波器的主要部分是阴极射线管,其也称为阴极射线示波器的心脏。
让我们讨论一下阴极射线管的构造,以便了解阴极射线示波器的构造.阴极射线管基本上由五个主要部分组成:
- 电子枪
- 偏转板系统
- 荧光屏
- 玻璃信封
- 基地
您需要所有5个组件来构建您自己的组件DIY示波器.我们现在将详细讨论这5个组件:
电子枪:
它是加速,激励和聚焦的电子束的源极。它由六个部分组成即,即加热器,阴极,栅格,预加速阳极,聚焦阳极和加速阳极。为了获得电子的高发射,在中等温度下间接加热氧化钡层(沉积在阴极末端)。在这次通过后通过称为控制网格的小孔,由镍组成。顾名思义,具有负偏压的控制网格,控制电子的数量或间接地,我们可以说出来自阴极的发射电子的强度。通过控制网格之后,这些电子在预加速和加速阳极的帮助下加速。预加速度和加速阳极连接到1500伏的常见正电位。
在这之后,聚焦阳极的作用就是聚焦产生的电子束。聚焦阳极连接可调电压500伏。现在有两种电子束聚焦的方法,如下所示:
- 静电聚焦。
- 电磁聚焦。
在这里,我们将详细讨论静电聚焦方法。
静电聚焦
我们知道电子上的力由QE给出,其中Q是电子上的电荷(Q = 1.6×10-19年C), E是电场强度和负号表示力的方向与电场的方向相反。现在我们要用这个力使电子枪射出的电子束产生缺陷。让我们考虑两种情况:
案例一
在这种情况下,我们有两个盘子A和B,如图所示。
板A处于电位+ e,而板B位于潜在-e。电场的方向是从板的直角到板B的板。等电位表面也显示在垂直于方向的图中电场.当电子束通过这个平板系统时,它会向电场的相反方向偏转。偏转角度可以很容易地通过改变板的电位来改变。
案例二
这里有两个同心圆柱体潜在的差异应用于它们之间,如图所示。
图中还给出了电场的合成方向和等势面。等势面用虚线标出,虚线的形状是弯曲的。现在我们感兴趣的是计算电子束通过弯曲等势面时的偏转角。让我们考虑曲线等势面S,如下所示。表面右侧的电势为+E,而表面左侧的电势为-E。当一束电子以a角入射到法线时,它在通过表面S后偏转角度B,如下图所示。当力沿垂直于表面的s方向作用时,横梁速度的法向分量将增加。这意味着切向速度保持不变,所以通过使切向分量相等,我们得到V1SIN(a)= v2罪(b),其中v1是电子的初速度,V2通过表面后是速度。现在我们与罪(a)/ sin(b)= v2/ V.1.
我们可以从上面的等式中看到,通过等电位表面之后存在电子束的弯曲。因此,该系统也称为聚焦系统。
静电偏转
为了求出挠度的表达式,我们考虑如下所示的系统:
在上面的系统中,我们有两个板A和B,它们的势分别为+E和0。这些板也称为偏转板。这些板产生的场是正y轴方向的没有沿x轴的力。在偏转板之后,我们有屏,通过它我们可以测量电子束的净偏转。现在让我们考虑一束沿着x轴的电子,如图所示。梁偏转角度A,由于存在电场偏转在y轴的正方向上,如图所示。现在让我们推导出这种光束的偏转表达。通过能量守恒,当电子从阴极移动到加速阳极时,我们的潜在能量损失应等于电子的电能的增益。在数学上,我们可以写,
式中,e是电子的电荷,
e是潜在的差异在两个板块之间,
M是电子的质量,
并且V是电子的速度。
因此,eE是势能损失的1/2mv1/2是动能的增加。
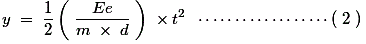
从方程(1)我们得到速度v = (2eE/m)1/2.
现在我们有电场沿Y轴的强度是E / D,因此沿Y轴作用的力由F = EE / D给出,其中D是两个偏转板之间的分离。
由于这个力,电子将沿y轴偏转,并让沿y轴的偏转等于D,如图所示。由于电子的力F有净向上加速度沿该加速度是由积极的y轴和Ee /处理(d×m)初速度沿y方向积极为零所以通过运动方程我们可以写沿y轴位移的表达式,
由于沿x方向的速度是恒定的所以我们可以把位移写成,
式中,u为电子沿x轴的速度。
从方程2和3中,
也就是电子的轨道方程。现在微分方程,斜率是。
其中,L是板的长度。
屏幕上的偏转可以计算为,
距离L如上图所示。D的最终表达式可以写成:
从偏转的表达,我们计算偏转敏感性,
格:这些是网格上的线,它的作用是当阴极射线示波器用于幅度测量。有三种类型的晶粒,它们写下来:
- 内部刻度:
顾名思义,在阴极射线管面板的内表面上沉积的内网格。不存在视差误差的问题,但我们不能改变内部的网格,因为它们是固定的。 - 外部粗略:
下面给出的是阴极射线示波器的电路图:
阴极射线示波器基本电路图
现在我们将研究基本的电路图阴极射线示波器下面主要分为以下几个部分。
- 垂直偏转系统:
借助输入衰减器和多个放大器级,将用于检查的输入信号馈送到垂直偏转系统板。这些放大器的主要功能是放大弱信号,使得放大的信号可以产生所需的信号。 - 水平偏转系统:
与垂直系统一样,水平系统也由水平放大器来放大微弱的输入电压信号,但与垂直偏转系统不同的是,水平偏转板由扫描电压馈电,提供如上所示的时基。如图所示,当扫描选择开关在内部位置时,同步放大器触发锯齿扫描发生器,触发的锯齿扫描发生器通过该机构向水平放大器输入。现在有四种类型的扫描:- 自由奔跑或循环扫描
顾名思义,锯齿波形是重复的,即一个新的扫描立即开始后的前一个扫描。 - 触发扫描
有时所观察到的波形可能不是周期性的,因此希望扫描电路保持不工作状态,并由所检查的波形启动扫描。在这种情况下,我们使用触发扫描。 - 驱动扫描
一般来说,当扫描是自由运行但由被测信号触发时,使用驱动扫描。 - 非锯齿扫
这是用来寻找两个电压之间的相位差。另一个重要的应用是,我们可以比较频率输入电压使用非锯齿扫描。
- 自由奔跑或循环扫描
- 同步:
扫描信号和被测信号之间必须有同步。同步是为了产生固定的模式。同步选择器可以选择三种同步源,分别写在下面:





