各种互连主动和被动组件以规定的方式形成闭合路径被称为电路。系统电流可以从源流到负载,然后返回到源的另一个终端被称为电路。理想的主要部分电路是:
- 电源用于向电路提供电力,这些主要是发电机和电池
- 控制电力控制设备和这些主要是开关,断路器那MCBS., 和电位计像设备等。
- 用于保护电路免受异常条件和这些的保护装置主要是电气保险丝那MCB.S,SwitchGear系统。
- 进行携带的路径电流从电路中的一个点到其他点,这些主要是电线或导体。
- 加载。
因此,电压和当前的是一个的两个基本功能电气元件。确定任何电路中的任何元件上的电压和电流都被称为电路分析的各种技术。
在该图中,显示了一个简单的电路
由于这个,一个当前的我,在电路中流动潜在的下降v伏特出现在跨越电阻器。
电路的基本特性
- 电路始终是闭路。
- 电路总是包含至少一种充当电子来源的能量源。
- 电气元件包括不受控制和受控能量源,电阻器,电容器那电感器, 等等。
- 在电路中,电子电路从负端到正端子发生。
- 常规流动方向当前的是从正到负端子。
- 电流的流量导致各种元素的潜在下降。
电路类型
电路可以以三种不同的方式进行分类
- 开路
- 闭路
- 短路
开路
如果由于通过电路没有电流的任何部分断开电路的任何部分,则据说是一个开放式循环。
闭路
如果电路中没有不连续,电流可以从一个部件流到电路的另一部分,则据说电路闭路。
短路
如果两个或更多个相,一个或多个相位和地球或AC系统的地球或中性或正极和负线或DC系统的正面或负线直接通过零阻抗路径连接在一起,则据说电路短途循环。
可以根据其结构特征进一步分类电路:
- 串联电路
- 并行电路
- 系列平行电路
系列电路
什么时候电路元素在尾部连接到头部时尚的一个接一个,并且由于其中只有一个流动电流的路径,则调用电路系列电路。这电路元件然后据说是连接的系列。在串联电路中,相同的电流流过串联连接的所有元件。
平行电路
如果组件以这样的方式连接电压下降在每个组件上都相同,那么它被称为平行电路。在平行电路这电压下降在每个组件上相同,但流过每个组件的电流可能不同。总电流是流过每个元素的电流之和。
一个例子平行电路是房子的布线系统。如果其中一个电灯烧坏,电流仍然可以流过其余灯具和设备。
在平行电路中电压所有元素都是一样的。
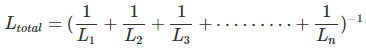
当。。。的时候电阻并联连接:
找到总数抵抗性在所有组件中,加入每个组分的电阻的倒数并采取总和的互核。
当电感器并行连接时:
当电容器并联连接时:
这电容器并联连接为串联组合。并联电容器的总电容等于其各个电容的总和。
系列平行电路
其中一些元件串联连接的电路,并且一些元件并联连接的元件称为a系列平行电路。大多数实用电路都是系列平行电路。一个非常常见的例子是导体在转子中的连接直流电机。





