什么是库仑定律?
库仑定律的定义
科伦布定律指出,两个带电物体之间相互吸引或相互排斥的静电力的大小与带电物体电荷的乘积成正比,与带电物体中心距离的平方成反比。
这个反方关系就是为什么这个定律也被称为库仑平方反比定律。
第一次引入这个概念时,可能会让人感到困惑。看看下面的库仑定律公式,可以帮助你想象电荷和距离之间的关系,以及它是如何影响静电力的(静电力是静止的带电物体之间的电场)。这也被称为库仑力)。
库仑定律公式
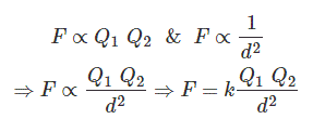
让我们想象,Q1和问2是两个物体的电荷。
d是物体中心之间的距离。
带电物体放置在介电常数为ε的介质中oεr
那么我们可以把力F写成:
上面的方程就是库仑定律的公式。这个公式使我们可以计算两个电荷相互作用的静电力。
库仑定律的表述
如果你更喜欢视频讲解,你可以观看下面的视频:
库仑定律
库仑第一定律指出,同电荷的物体(物体或粒子)相互排斥,不同电荷的物体(物体或粒子)相互吸引。
库仑第二定律
库仑第二定律指出,两个带电物体之间的引力或斥力与它们的电荷大小成正比,与它们之间距离的平方成反比。因此,根据库仑第二定律,
在那里,
- “F”是两个带电物体之间的斥力或引力。
- ”问1”和“问2'是物体的电荷。
- “d”是两个带电物体中心之间的距离。
- “k”是一个常数,它取决于带电物体所处的介质。在S.I.系统中,以及在m.k.s系统中,k=1/4πεoεr。因此,上式为。
ε值o= 8.854×10-12年C2/纳米2。
因此,对于介质库仑定律可以写成:
然后,在空气中或真空中εr= 1。因此,库仑定律对于空气介质可以写成:
ε值r是否会改变取决于媒介。相对介电常数ε的表达式r如下;
库仑定律原理
假设我们有两个带电荷的物体,一个带正电荷,一个带负电荷,如果它们彼此保持一定的距离,它们就会相互吸引。现在,如果我们增加一个物体的电荷,而另一个物体不变,那么引力显然会增大。
同样,如果我们在保持第一个物体不变的情况下增加第二个物体的电荷,它们之间的引力就会再次增加。因此,带电物体之间的力与其中一个物体或两者的电荷成正比。
现在,让它们的电荷固定在Q处1和问2如果你让它们彼此靠近,它们之间的力就会增加,如果你让它们彼此远离,它们之间的力就会减少。
如果两个带电体之间的距离为d,则可以证明作用在它们上的力与d成反比2。
在所有介质中,两个相同的带电体之间力的发展是不一样的。正如我们在上面的公式中讨论的,εr会在不同的介质中发生变化。所以,力的产生是可以变化的,这取决于介质。
库仑定律的局限性
- 库仑定律是有效的,如果两个有趣的电荷粒子之间的溶剂分子的平均数应该很大。
- 如果点电荷是静止的,库仑定律就成立。
- 当电荷处于任意形状时,很难应用库仑定律。因此,当电荷处于任意形状时,我们无法确定它们之间的距离“d”的值。
谁发明了库仑定律?
库仑定律最早于公元前600年由希腊哲学家米利都的泰勒斯提出。如果两个物体带静电,它们会相互排斥或吸引,这取决于它们所带电荷的性质。这只是一个观察,但他并没有建立任何数学关系来测量带电物体之间的引力或斥力。
几个世纪后,1785年,法国物理学家查尔斯·奥古斯丁·德·库仑发表了两个带电物体之间的数学关系,并推导出了它们之间的斥力或引力方程。这个基本关系通常被称为库仑定律。





