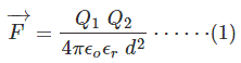
电场强度或电场强度是同义词吗电场。电场强度可以由库仑定律。根据这个定律,两个带电荷Q的点电荷之间的力F1和问2库仑,在距离d米的地方,
在这里,εo真空的介电常数是8.854×10吗- 12F / m和εr为周围介质的相对介电常数。
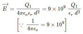
现在,我们代入Q2= + 1库仑,让我们在方程(1)中用E表示力F,这样做,我们得到,
这个方程表示作用于单位正电荷的力,单位正电荷与电荷Q的距离为d1。
根据定义,这只不过是电场强度的问1距离电荷d的距离。现在,我们得到了电场强度的表达式。现在,通过将这个表达式与方程(1)结合,我们得到,
上面的表达式表明,如果我们在电场中的任意一点放置一个电荷,这一点的电场强度与物体电荷的乘积就给出了电场中这一点作用在物体上的力。上面的表达式也可以重写为:
根据这个表达式电场强度可以用牛顿/库仑表示。电场强度的单位是牛顿/库仑。电场强度有方向,因此它是一个矢量。强度是指大小或数量。磁场强度同样表示磁场强度的大小。最后电场强度或强度可以写成,
到目前为止,我们已经讨论了单个电荷影响下某一点的电场强度,但也可能存在某一点处于许多带电体的电场下的情况。在这种情况下,我们首先要计算,这一点单个电荷的电场强度然后我们要把所有的电场强度矢量相加得到这一点的合力电场强度。





