微分器是一种基于运放的电路,其输出信号与输入信号的微分成正比。
一个运算放大器的区别基本上是一个反相放大器与一个电容器在其输入端输入合适的值。下图是an的基本电路图运算放大器的区别。
我们首先假设运算放大器这里使用的是理想的运算放大器。我们知道电压理想运放在反相端和非反相端是相同的。随着电势在非反相端为零,因为它接地了。由于运放是理想的,反相端电势也为零。因为,我们知道非反相端子和反相端子的电势。我们也知道,通过理想运放的反相端和非反相端进入的电流为零。
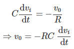
考虑到an的这些条件理想的运算放大器,如果我们申请基尔霍夫电流定律在节点1处运放微分电路我们得到了,
由上式可知,输出电压是输入电压的导数。





