一个积分商是运算放大器电路,其输出与输入信号的积分成比例。
一个积分商基本上是一个反相放大器我们取代反馈的地方电阻器与A.电容器合适的价值。
上面的图,是一个反转运算放大器电路。
这可以修改为运算放大器集成商电路,如果我们替换反馈电阻器R.F由A.电容器c如下所示。
在A.理想的运算余量非反相输入端子处的电压与反相输入相同。
这里,在电路中,由于非反相输入接地,因此电位反相输入也将为零作为非反相输入。在A.理想的运算余量,没有电流还会进入op amp.通过反相和非反相输入。
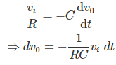
现在,如果我们申请Kirchhoff当前法律在上述电路的节点1,如图2所示,我们得到了,
我们得到的两边,
这是输入电压的整体功能。





