让我们连接一个充电的电容器电容C法拉与a串联电阻器的电阻R欧姆。然后,我们通过如图所示的开关使这个串联组合短路。
电容器一旦短路,就开始放电。
放电是指电容器释放其储存的电荷。
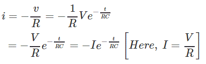
让我们假设电压电容器在充满电的情况下的电压是V伏。一旦…电容器短路时,电路的放电电流为- V / R安培。但在打开的瞬间,在t =+0的当前的通过电路
按基尔霍夫电压定律我们得到了,
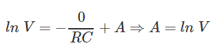
对两边积分,我们得到,
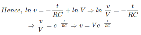
其中,A是积分常数,在t = 0时,v = v,
计算A的值,得到:
我们知道电路的形式,KVL,
如果我们把这些放电电流和电压画出来,我们得到,
因此,在放电过程中,电容器电流从初始值指数级地达到零,电容器电压从初始值指数级地达到零。





