让我们连接一个电容器的电容C串联电阻器的抵抗性我们也连接了这一点系列电容器组合和电阻器与A.电池的电压v通过推送开关s。
让我们假设电容器最初没有充电。当我们推动开关时,就像电容器不带电,在电容器上显影电压,因此电容器将表现为短路。此时,电荷刚刚在电容器中累积。该当前通过电路只会受到限制抵抗性R.
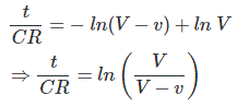
因此,初始电流为v / r。现在逐渐地在电容器上开发电压,并且这种开发的电压与极性相反电池。结果是当前在电路中逐渐减少。当电压跨越电容器变得相等且与电池电压相反,电流变为零。电压在充电期间逐渐增加电容器。让我们考虑电容器上电压的增加速率是任何瞬间t的DV / DT。通过该瞬间通过电容器的电流是
申请,Kirchhoff的电压法,在那个瞬间的电路中,我们可以写,
整合两侧我们得到,
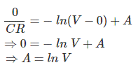
现在,在接通电路时,电压横跨电压电容器是零。这意味着,在t = 0处V = 0。
将这些值置于上方等式中,我们得到
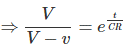
获得A的值后,我们可以将上述等式重写为,
现在,我们知道,
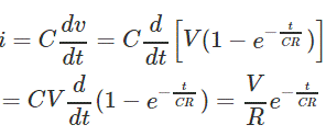
这是在充电过程中表达充电电流i。
电容器在充电期间的电流和电压如下所示。
在这里的上面的图中,我O.是在开启电路和V期间最初没有充电的电容器的初始电流。O.电容器完全充电后的最终电压是最终电压。
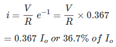
在表达充电电流(如上所述)的表达中,我们得到了,
因此,在时间t = Rc,充电电流的值变为初始充电电流的36.7%(v / r = iO.)当电容器完全没有充电时。这次被称为时间常数电容电容与电容值C Farad以及电容器串联电阻R欧姆。在该电容器上产生的电压的值是
在这里V.O.电容器完全充电后最终在电容器上开发的电压是否与源电压相同(V = V.O.)。





