当前业务规则
当电流流过不止一条平行路径时,每条路径共享一定比例的总电流,这取决于该路径的阻抗。如果已知任何一条平行路径的阻抗和平行系统的等效阻抗,就很容易计算出这条路径所共有的总电流的确定部分。从这些已知的阻抗推导出的规则或公式,以知道通过任何并联路径的总电流部分称为当前业务规则。这条规则在……领域有着非常重要的应用电气工程在不同的应用程序。
实际上,当我们需要找到当前的通过每个阻抗时,这些是并联的。假设,两个阻抗为Z1和Z2并联方式如下图所示。
电流I通过并被分为I1和我2如图所示,在这两个阻抗的连接处。我1和我2通过Z1和Z2分别。我们的目标是确定I1和我2用I, Z表示1和Z2。
当Z1和Z2并行连接,电压降每一个都是一样的。因此,我们可以写
还应用基尔霍夫电流定律在路口,我们得到
我们有两个方程,可以确定I1和我2。
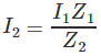
从(1)得到
代入(2)得到
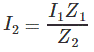
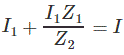
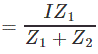
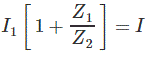
或者,
或者,
或者,
我们有
I的值1,我们得到
因此,我们确定了I1和我2用I, Z表示1和Z2。
该规则的应用如下。
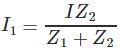
假设我们要确定I1。我们继续进行
应用上述规则,我们会得到
让我们把这个规则应用到一些问题上。
申请目前的分工和规则,我们将有
在哪里,我1=通过Z的电流1。
输入给定的数值,我们得到
同样的,
另一种找到我的方法2是
这就是我们如何应用当前的除法规则。
电压划分规则
电压划分规则在我们找到的时候是应用的电压在一些阻抗。我们假设阻抗为Z1, Z2, Z3.,...... ..n是串联的和电压源V通过它们连接,如下图所示。
我们的目标是求出某阻抗上的电压,比如Z3.。我们看到Z1, Z2, Z3.…Zn串联连接。因此,有效阻抗Zeff如所见电压由
通过电路的电流由
该电流通过串联连接的所有阻抗。因此,z的电压3.是由
类似地,Z轴上的电压1将由
一般来说,我们可以这样写
k = 1 2 3,....n和阻抗Z1, Z2, Z3.Z,……n应串联连接。
这就是所谓的电压划分规则并经常用来确定一些阻抗上的电压。我们可以把这条规则用下面所给的词写下来。
某阻抗上的电压
我们将解决一个问题,寻找跨阻抗的电压使用电压军规则。
问题
阻抗
串联连接。在串联连接的这些阻抗中,100V的电压源如下所示连接。确定每个阻抗两端的电压。
解:
应用电压划分规则,我们得到
同样的,
我们也可以确定VZ3.如下。
实际上,我们可以用这种方法确定任何阻抗上的电压,如果已知其他阻抗上的电压。
当我们
,各阻抗间的电压为
因此,电压在每个阻抗上是相同的,它等于V/n,即源电压除以串联连接的阻抗数。





