电熔丝
在电网的正常工作条件下,当前流过网络在额定限制范围内。如果网络中发生故障主要是相位短路故障或阶段到接地故障,则网络电流通过额定限制。
这种高电流可能会产生非常高的热效应,对连接到电网的贵重设备造成永久性的损坏。因此,这种高故障电流应该尽可能快地中断。这是什么电气保险丝所做的事。
熔丝是电路的一部分,其由导体构成,当电流超过预定值时容易熔化并且断开连接。电气保险丝是最薄弱的部分电路当超过预先设定的电流流过时,它就会断开。
熔丝
功能的功能保险丝线是携带正常电流而没有过度加热,但通过熔丝线时的正常电流,它迅速加热并熔化。
熔丝材料
该用于保险丝电线的材料主要是锡,铅,锌,银,锑,铜,铝等。
保险丝额定
熔点和特定电阻用于保险丝线的不同金属
| 金属 | 熔点 | 特定阻力 |
| 铝 | 240.O.F | 2.86μω- cm |
| 铜 | 2000年O.F | 1.72μΩ - cm |
| 铅 | 624.O.F | 21.0μω- cm |
| 银 | 1830年O.F | 1.64μΩ - cm |
| 锡 | 463O.F | 11.3μω- cm |
| 锌 | 787O.F | 6.1μΩ - cm |
一些重要的术语需要用到保险丝
保险丝
它已经在前面定义过了。
熔丝
它也在前面定义。
最低保险丝熔断电流
它是由于保险丝熔化而导致的最小值。
保险丝的当前额定值
它是熔断器不熔化的最大电流值。
融合因子
这是熔断器的最小熔断电流和额定电流的比值。
因此,熔断系数=最小熔断电流或熔断器的额定电流。
定影因子的值总是超过1。保险丝的前瞻性电流
在熔化之前,熔丝元件必须通过它承载短路电流。前景电流被定义为电流的值,该值将在网络中发生短路后立即流过熔丝。
保险丝的熔化时间或保险丝的预电弧时间
这是熔丝融化时断裂的时间。它从那一刻开始计算;过电流开始流过保险丝,直到保险丝因熔化而断的那一刻。
熔断器起弧时间
后break熔丝导线将在电线的两个熔化尖端之间存在电弧,这将在电流零处熄灭。从发起的弧的瞬间淘汰的时间被熄灭被称为熔断器的电弧缩进时间。
熔断器工作时间
每当被褥的电流开始流过熔丝导线时,需要熔化和断开需要时间,并且在熔丝线的熔化尖端之间的电弧恒星之后,最终熄灭。熔断器的操作时间是当储备电流开始流过熔断器时瞬间的时间间隙,并且当保险丝中的弧线最终熄灭时瞬时熄灭。这意味着熔断器的操作时间=熔化时间+电弧时间。
熔断器电流承载能力
熔丝导线的电流承载能力取决于许多因素,类似的材料,它是什么材料,即用于连接它的端子的直径和长度,尺寸和形状,以及周围的终端。
保险丝法
保险丝法决定保险丝的载流能力。我们可以用下列方法制定法律。
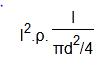
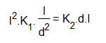
在稳定状态下,即熔断器保持正常电流而不将其温度提高到熔化极限。这意味着在稳态条件下,通过保险丝的电流产生的热量等于从保险丝散发的热量。
热产生= i2R.
其中R是电阻保险丝线。
ρ是什么电阻率,L是长度,a是熔丝线的横截面积。
式中,d为熔丝直径。
在哪里,k1是一个常数。
热损失∝熔断丝表面积∝πd.l。
在哪里,k2是一个常数。
现在,将(i)和(ii)相等,我们得到,
这被称为保险丝法
| 金属 | 当D测量为mm时k值 |
| 铝 | 59. |
| 铜 | 80 |
| 铁 | 24.6 |
| 铅 | 10.8 |
可重新布线或奇巧保险丝单元
可换线或奇巧熔断器是我们日常生活中最常用的熔断器。这个保险丝主要有两个部分。将进出线或相线永久连接的单元称为保险丝座。可拆卸的部分,持有保险丝和适合的基地是被称为保险丝载体。熔断器载体也被称为a剪下。
弹药筒保险丝
在弹药筒保险丝保险丝采用透明玻璃管或玻璃球密封,如果保险丝烧断,应更换新的保险丝弹药筒保险丝由于密封,不能重新接线。
铅锡合金熔断线或共晶合金熔断线
对于断电流较小的铅锡,过去采用合金熔断线。熔断线中铅含量为37%,锡含量为63%的铅锡合金是首选铅锡合金。这种合金熔断线也称为共晶合金熔断线。这种合金有一些特殊的特性,因此首选作为熔断线。
- 它具有高的Brinner硬度,并且倾向于扩散的倾向。
- 合金金属很均匀。
- 如果研究共晶合金和其他合金成分的熔合特性,与其他两种合金相比,共晶合金中只有一个熔合点。
空气中铅锡合金保险丝线的近似熔断电流
| 直径 英寸英寸 |
保险丝熔断电流 在一个 |
最高保险箱 目前在一个 |
| 0.02 | 3. | 2 |
| 0.022 | 3.5 | 2.3 |
| 0.024 | 4. | 2.6 |
| 0.028 | 5. | 3.3 |
| 0.032 | 6. | 4.1 |
| 0.036 | 7. | 4.8 |
| 0.048 | 10. | 7. |
| 0.064 | 16. | 11. |
NB: -使用的熔丝长度不小于2.5英寸~ 3.5英寸。上面表中的值是真的只有当保险丝不接触融合控制身体因为当保险丝接触陶瓷或其他价值的保险丝熔断电流随载电流保险丝的散热率,增加。因此,在重新布线保险丝手柄上的保险丝时,应始终采取预防措施,使其不接触保险丝手柄本体。
HRC保险丝或高破裂容量保险丝
|
|
HRC保险丝或高破断能力熔断器- 根据该类型的保险丝,熔丝线或元件可以在已知时间段内携带短路重电流。在此期间,如果故障被删除,那么它不会吹掉。否则,它会吹掉或融化。外壳HRC保险丝是玻璃或其他一些化合物。
该外壳充分密封以避免大气对熔丝材料的影响。陶瓷外壳在两个头部具有金属端盖,可熔熔银线被焊接到焊接。外壳内有一个空间,围绕熔丝线或保险丝元件,完全用填充粉末包装。
该熔断器可靠且具有逆时间特性,即当故障电流大时,断弧时间短;当故障电流不大时,断弧时间长。
HRC保险丝的操作
当过高的额定电流流过高破断能力熔断器该元件熔化并蒸发。
填充粉是这样的量,即银蒸汽和填充粉末之间的化学反应形成高度电阻具有非常有帮助的物质淬火弧。





