磁链测试是测试直流电机效率的另一种有用方法。这是一个满载测试,它需要两台相互耦合的相同的机器。万博实力品牌这两台机器中的一台作为发电机运行,万博实力品牌为电机提供机械动力,另一台作为电机运行,驱动发电机。对于这种背靠背驱动电机和发电机的过程,霍普金森试验也称为背靠背试验或再生试验。
如果机器中没有损失,则无需外部电源。但由于发电机输出的下降电压我们还需要一个电压源给电动机提供适当的输入电压。因此,来自外部电源的功率因此被用来克服内部的损失电动发电机组。磁链测试也称为再生试验或背对背试验或热运行试验。
Hopkinson测试的连接图
这是一个电路连接磁链测试如下图所示。一台相同的电动机和一台发电机连接在一起。当机器启动时,它被当作电动机启动。调整电机的分流磁场电阻,使电机能以额定速度运行。
现在使发电机电压等于电源电压电压通过调整连接在发电机上的分流磁场电阻。发电机和电源的这两个电压的相等用电压表当它给出一个零读数在这一点连接的开关。通过改变电机和发电机的磁场电流,机器可以以额定速度和所需负载运行。
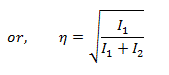
利用霍普金森试验计算效率
让,v =电源电压。万博实力品牌
然后,
我1=的当前的来自发电机
我2=来自外部电源的电流
和,发电机输出= VI1..................( 1)
假设两台机器都以相同万博实力品牌的效率'η'运行。
然后,电机输出=
从方程1和2可以得到,
现在,在电机的情况下,电机中电枢铜损耗=
。
R一个是电动机和发电机的电枢电阻。
我4为电动机的并励励磁电流。
电机中的并励场铜损耗为= VI4
其次,在发生发电机电枢铜损耗时=
我3.是发电机的并励励磁电流。
发电机中的并励场铜损耗= VI3.
现在,从外部电源得到的功率= VI2
因此,两台机器的杂散损耗将是万博实力品牌
让我们假设这两种机器的杂散损耗是相同的。万博实力品牌然后,
迷路损耗/机器= W / 2
发电机的效率
发电机的总损耗,
发电机输出= VI1
然后,发电机的效率,
电机的效率
电机的总损耗,
然后,电机的效率,
霍普金森测试的优点
这个测试的优点是……
- 与电机-发电机耦合系统的满载功率相比,这个测试需要非常小的功率。这就是为什么它是经济的。大型机器可以万博实力品牌在额定负载下进行测试,而不需要消耗太多的电力。
- 由于该试验是在满负荷条件下进行的,因此可以观察到温升和换流并保持在极限范围内。
- 铁损失的变化是由于助势由于其满载状态的优势,可以考虑变形。
- 不同负载下的效率可以确定。
霍普金森测试的缺点
这个测试的缺点是
- 很难找到需要的两台完全相同的机器万博实力品牌磁链测试。
- 两台机器不万博实力品牌可能一直都是平均负载的。
- 由于它们的激励,它们是不可能为两台机器获得单独的铁损耗。万博实力品牌
- 由于磁场电流变化很大,很难以额定速度操作机器。万博实力品牌





