阴极射线示波器CRO是一种非常重要的电子器件。CRO对分析不同信号的电压波形非常有用。CRO的主要部分是CRT (阴极射线管)。一个简单的CRT如下图所示
当CRO()的两对挠度板(水平挠度板和垂直挠度板)阴极射线示波器)被连接到两个正弦电压时,屏幕上出现的图案称为利萨模式。
这些Lissajous图案的形状随着信号和偏转板(痕迹)的频率比值之间的相位差的变化而变化阴极射线示波器。这使得这些利萨模式这对分析CRO偏转镀的信号非常有用。这些lissajous模式有两个应用来分析信号。计算具有相同频率的两个正弦信号之间的相位差。确定应用于垂直和水平偏转板的正弦信号的频率之比。
计算具有相同频率的两个正弦信号之间的相位差
当两个相同频率和大小的正弦信号被应用于两对偏转板阴极射线示波器, Lissajous模式会随着信号间相位差的变化而变化阴极射线示波器。
对于不同的相位差值,Lissajous图案的形状如下图所示:
| SL。 | 相角差“ø” | 利萨尤图案出现在屏幕上 |
| 1 | 0o& 360o |
|
| 2 | 30.o或330o |
|
| 3. | 45o或315o |
|
| 4 | 60o或300o |
|
| 5 | 90o或270o |
|
| 6 | 120o或240o |
|
| 7 | 150o或210o |
|
| 8 | 180o |
|
有两种情况来确定两个信号之间的相位差ø应用于水平和垂直板,
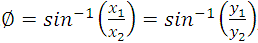
案例——我:时,0 <ø< 90o或270o<ø< 360o: -
如上我们研究表明当角的范围0 <ø< 90o或270o<ø< 360o, Lissajous图形是长轴穿过原点的椭圆形状,从第一象限到第三象限:
让我们考虑一个例子为0 <ø< 90o或270o<ø< 360o,如下图所示:
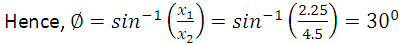
在这种情况下,相位差为,
另一种可能的相位差,
从上面给出的Lissajous模式
另一种可能的相位差,
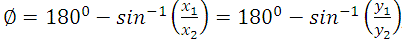
案例- II:当90年o<ø< 180o或180o<ø< 270o
如上所述,很明显,当角度在0范围内o<ø< 90o或270o<ø< 360o, Lissajous图案是长轴穿过原点的椭圆形状,从第二象限到第四象限:
让我们考虑一个当,90的例子o<ø< 180o或180o<ø< 270o,如下图所示:
在这种情况下,相位差为,
另一种可能的相位差,
从上面给出的Lissajous模式
另一种可能的相位差,
为了确定应用于垂直和水平偏转板的信号的频率比率:
要用利萨图来确定信号的频率比,只需在利萨图上画任意横线和垂线与利萨图相交即可。现在用这些水平线和垂直线的利萨尤模式来计算水平和垂直切线的数量。
然后,偏转板上的信号频率之比,
或者,
让我们考虑一些例子来详细阐明这个概念:
利萨模式示例
| Sl。 | 利萨模式 | 频率比fy/ fx |
| 1 |
|
fy/ fx= 4/2 = 2 |
| 2 |
|
fy/ fx= 3/1 = 3 |
| 3. |
|
fy/ fx= 6/4 = 3/2 |
| 4 |
|
fy/ fx= 6/8 = 3/4 |
| 5 |
|
fy/ fx= 4/3 |





