它是从给定线路数据和总线数据确定电力系统网络的稳态操作特性所需的计算过程(数值算法)。
您必须知道加载流程的事情:
- 加载流量研究是电力系统网络的稳态分析。
- 负载流程研究确定了给定负载的系统的运行状态。
- 负载流程在系统中的每个节点处解决了一组同时非线性代数功率方程,用于系统中的每个节点的两个未知变量(| V |和∠δ)。
- 为了解决非线性代数方程,重要的是具有快速,高效准确的数值算法。
- 负载流分析的输出是电压和相位角,真实和无功功率(每条线的两侧),线路损耗和松弛总线功率。
负载流程步骤
负载流程的研究涉及以下三个步骤:
- 电力系统组件与网络建模。
- 负载流动方程的发展。
- 解决这一点加载流量使用数值技术的方程。
电力系统组件的建模
发电机
加载
传输线
一种传输线表示为标称π模型。
其中,R + JX是线路阻抗,Y / 2称为半线充电导纳。
偏离标称抽头更换变压器
对于名义变压器关系
但是为了一个名义变压器
因此,对于偏离标称变压器,我们定义如下变换率(a)
现在我们想通过等效模型在一行中代表一个偏标。
图2:包含偏离标称变压器的线
我们希望将上述转换为总线P和Q之间的等效π模型。
图3:等效π模型
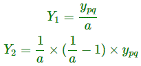
我们的目标是找到这些价值观入场y1,Y.2和y3.因此,图3可以由图3表示
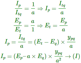
从图2中我们有,
现在考虑图3,从图3中我们有,
从EQN I和III比较E的系数P.和E.问:我们得到,
与我们有等式II和IV类似
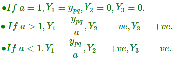
一些有用的观察
从上面的分析中,我们看到了2,Y.3.根据转换率的值,值可以是正的或负的。
好问题!
Y = - ve意味着反应力的吸收即,它表现为电感器。
y = + ve意味着产生反应力的一代,即它表现为a电容器。
网络建模
考虑两者巴士系统如上图所示。
我们已经看到了
在公共汽车上产生的力量是
公共汽车上的电力需求是
因此,我们定义了在公共汽车上注入的净功率如下

