内容

向前偏置PN结
一种PN结据说是前偏见当。。。的时候P型区域结的连接连接到A的正极端子电压源和n型区域连接到电压源的负端子。
在这种正向偏置条件下,由于源正极的吸引,p型材料中参与共价键生成的电子将被吸引到该端。
结果,共价键的数目被打破,电子向正极移动。这导致晶体中靠近终端的电子浓度增加,这些电子在这里与空穴重新结合。
以这种方式,孔的数量在远离结的P型区域的部分中增加,并且在靠近终端的P型区域的部分中减小,因为这种孔从端子移位到结。
由于与负杂质离子层相邻的孔较高,负离子的电子与那些孔一起重新组合并在层中产生新的孔。因此,降低了该负离子层的宽度,最后,该层消失了。
类似地,由于源的负端子,N型区域中的自由电子将废除它们将在其发现正杂质离子层并与这些离子重组并在层内产生游离电子的结。因此,阳性杂质离子的宽度降低,最后,它消失了。
在这些方式中,两层离子消失,并且不会有更多的耗尽层。在耗尽层消失之后,来自N型区域的游离电子可以容易地漂移到P型区域和从p型区域到晶体中的n型区域的孔。
因此,理想情况下,将没有流动的阻碍当前的,PN结的表现为短路。

反向偏置PN结
当电压源的正端连接到n型区域,源的负端连接到p型区域时。PN结称为反向偏置状态。
什么时候没有电压跨越P n交界处,交界处开发的潜力为0.3伏特O.C在交界处的锗和25伏的锗O.C对于硅P n结。
该电位屏障的极性与在反向偏置条件期间施加的电压源的极性相同。如果PN结两端的反向偏置电压增加,则跨越PN结的屏障电位也增加。因此,PN结宽阔。
当源的正末端连接到n型区域时,由于在耗尽层中产生了更多的阳性杂质离子,该区域的自由电子朝向源的正末端被吸引,这使得阳性杂质层离子厚。
同时,由于源的负端连接到结的p型区域,电子被注入到该区域。
由于n型区域的正电位,电子向结合部漂移,与带正电荷的杂质离子层附近的空穴结合,在层内产生更多的正电荷杂质离子。因此,层的厚度增加。
以这种方式,耗尽层的总宽度随着其阻挡电位而增加。耗尽层宽度的这种增量将继续直到屏障电位达到施加反向偏置电压。
虽然这种障碍电位的增量将继续施加反向偏置电压,但如果施加的反向偏置电压足够高,则耗尽层将消失齐纳故障和雪崩故障。
还应注意,在逆偏置耗尽层完成后,由于潜在的屏障相反,在连接的情况下,没有更多的电荷载体(电子和孔)漂移的电荷载波(电子和孔)电压与潜在屏障具有相同的值。
虽然由于少数载波,但由于少数载波,因此从n型区域流到p型区域,但是在热产生的电子中P型半导体和洞在一个n型半导体。
PN交界处的前进电流
当。。。的时候电池电压施加在正向偏置交界处,a当前的将连续流过这个交界处。
一世S.是饱和电流(10-9到10.-18一种)
V.T.伏等温度(= 26mV在室温下)
n是发射系数(Si IC的1≤n≤2)
实际上,这个表达式近似。
PN交界处的反向电流
When a p-n junction is connected across a battery in such a manner that its n-type region is connected to the positive potency of the battery and the p-type region is connected to the negative potency of the battery the p n junction is said to be in reverse biased condition. Ideally, there is no current flowing through the junction. But practically there will be a tiny reverse bias current iD.这被表达为。
一世D.降至零值或最小值。一世D.可以写作我0.。
一世S.是饱和电流(10-9到10.-18一种)
V.T.伏等温度(= 26mV在室温下)
n是发射系数(Si IC的1≤n≤2)
实际上,这个表达式近似。
PN交界处的一般规范
p-n结有四种指定方式。
- 正向电压降(vF):是前向偏置结电平电压(锗0.3V,硅二极管0.7V)
- 平均正向电流(IF):由于漂移电子流或多数载流子是前偏置电流。如果平均正向电流超过其值,则二极管会过热,可能会损坏。
- 峰值反向电压(vR.):跨越的最大反向电压二极管在其反向偏见的条件下。在这种反向电压二极管上,由于其少数载波,将用于故障。
- 最大功耗(P):它是前电流和正向电压的乘积。
v-i pn结的特征

在正向偏置中,运算区域在第一象限。锗的阈值电压为0.3 V,硅的阈值电压为0.7 V。超过这个阈值电压,图表以非线性的方式上升。这幅图是正偏置中结的动态电阻。
在反向偏见中电压在p-n交界处的反向方向上增加,但没有当前的由于多数载体,只有最小的漏电流流动。但是在一定的反向电压P-n结处断开导通。
它只是由于少数民族运营商。对于这些少数载波来破坏耗尽区域,该电压足够。在这种情况下,尖锐的电流将流过这个连接点。这种电压击穿有两种类型。
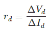
P-N结的电阻
P-N结的动态电阻
从P-N结的V-I特性,显然图形不是线性的。这向前偏置p-n交界处抵抗性是rD.欧姆;它被称为交流电阻或动态电阻。它相当于电压电流的斜率PN结。

P-N结的平均AC电阻
平均交流电阻由直线绘制链接的外部输入的最小值和最大值的直线确定电压。
与p-n交界有关的一些重要术语
PN结的过渡电容
当耗尽区域存在于周围的常见交界处时,二极管充当电容器。这里,耗尽区是两端的电介质和两个区域(p型和n型)作为A的带电板电容器。随着耗尽层减少,所以电容价值下降。
PN结的扩散电容
它在正向偏置条件下的二极管的电容,并且它被定义为在差分变化中产生的横向电荷的比率电压。
当。。。的时候当前的通过结增加扩散电容也增加。随着电流的增加,前偏抗性也会降低。该扩散电容略大于过渡电容。
PN交界处的储存时间
通过在切换期间施加同时向前和反向偏置电压,电子通过在切换期间施加同时向前和反向偏置电压来从n型区域移动到p型区域和p型区域的时间。
PN结的过渡时间
它是电流降低以反向漏电流所花费的时间。该转变时间可以通过P-n结的几何形状和掺杂水平的浓度来确定。
p-n结的反向恢复时间
它是存储时间和转换时间的总和。这是一个人的时间二极管提高施加的电流从反向漏电流中获得10%的恒定状态值。




