内容
什么是输电线路的垂度?
在一个输电线路,凹陷被定义为支撑点之间的垂直水平差(最常见的是输电塔)和最低点导体。输电线路垂度和张力的计算取决于架空导线的跨度。
具有相同水平支撑的跨度(即相同高度的塔)称为跨度水平跨度。相反,当跨度具有不相等的支撑水平时,这称为不平等水平跨度。
考虑一个传输线导体AOB自由悬浮在同一水平(等跨)的水平支撑点a和B之间。导体的形状为抛物线,其最低点为O形。

在上述架空导体AOB中,S为垂直测量时的垂度。
为什么输电线路导体必须有弧垂?
Sag是强制性的输电线路悬浮导体。导体以完美的弧垂值连接在两个支撑物之间。
这是因为它保护导体不受过度张力的影响。为了使导体的张力达到安全水平,导体不能被完全拉伸;而是允许它们下垂。
如果导体在安装过程中被完全拉伸,风会对导体施加压力,因此导体有可能被折断或从其端部支架上脱落。因此凹陷在导线悬挂期间允许有。
需要注意的几点:
-
- 当两个相同水平的支撑物托住导体时,导体内出现弯曲形状。相对于导线的跨度,垂度非常小。
- 凹陷-跨度曲线呈抛物线形。
- 导体上每一点上的张力总是与之相切。

- 导体张力的水平分量在整个导体长度上是恒定的。
- 支撑物处的张力几乎等于导体上任何一点的张力。
如何计算输电线路的弧垂
在计算输电线路弧垂时,需要考虑两种不同的情况:
- 当支持处于相等的水平时
- 当支持不处于相等的级别时
根据支撑水平(即支撑架空导线的输电塔)是否在同一水平,计算垂度变化的公式。
支架的凹陷计算在相同的水平
假设,AOB是售票员。A和B是支撑点。O点是最低点和中点。
设L =张成空间的长度,即AB
w是导体单位长度的重量
T是导体的张力。
我们选择导体上的任意点,比如点P。
点P到最低点O的距离是x。
y是点O到点P的高度。
根据上面的图,我们得到两个力在O点的两个力矩,
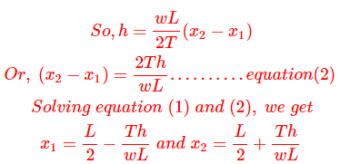
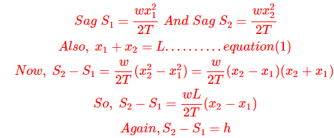
支架的弧垂计算在不同的水平上
假设AOB是以O点为最低点的导体。
L是导体张成的空间。
h为两支点之间的高度差。
x1为较低水平点A的支撑点到O的距离。
x2为上一级点B到O的支撑距离。
T是导体的张力。
w是导体单位长度的重量。
现在,
那么,在计算了x的值之后1和x2时,我们可以很容易地求出凹陷值S1和凹陷年代2。
采用上述公式计算垂度导体处于静止空气中,环境温度正常。因此,导体的重量就是它自身的重量。
冰和风对凹陷有什么影响?
冰和风对凹陷的影响包括:
- 当风以一定的力吹在导体上,而冰在导体周围积聚时,导体单位长度的重量就会发生变化。
- 风力作用在导体上,使导体单位长度自重水平向气流方向改变。
- 冰荷载作用于导体,使导体单位长度自重垂直向下变化。
- 考虑到风力和冰荷载同时存在,导线单位长度的合力重量将会增加。
- 由此产生的重量会与冰面形成向下的夹角。
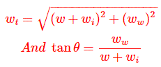
我们假设,w是每单位长度导体的重量。
w我单位长度的冰的重量是多少
w我=冰的密度×单位长度冰的体积
ww单位长度的风力是多少
ww=单位面积风压×单位长度投影面积
所以,导体单位长度的总重量是
导线的垂度由
垂直凹陷




