内容
什么是戴维宁定理(戴维宁等价定理)?
戴维宁定理(也被称为theHelmholtz-Thevenin定理)可以让我们找到电路的戴维南等效。戴维宁定理州,线性电路只包含电压源、电流源和抗性可以用一个电压源(VTh)与单个电阻(RTh)横跨负载连接。这种简化的电路称为戴维南等效电路。
换句话说,Thevenin定理指出,可以将任何电路(无论多么复杂)简化为一个等效的双端电路,只需将一个恒压源串联在一起,并将一个电阻(或阻抗)连接到如下所示的负载上。
该电源的电压为各端子的开路电压,电源的内部阻抗为各端子的等效电路阻抗。
如何找到维宁等效电路
下面,我们将讨论如何找到具有单个电压源和两个电压源的电路的Thevenin等效电阻和Thevenin等效电压。
然后,我们将讨论如何找到带电流源的电路的Thevenin等效电阻和Thevenin等效电压。
Thevenin等效电路示例(视频指南)
对于那些更喜欢视频解释的人,下面的视频将逐步地介绍一个Thevenin等效电路问题的例子。这个解决了戴维宁定理的问题使用了单一电压源。
如果您正在寻找两个电压源或一个电流源的例子,请参阅下面解决的问题。
戴维南等效电阻
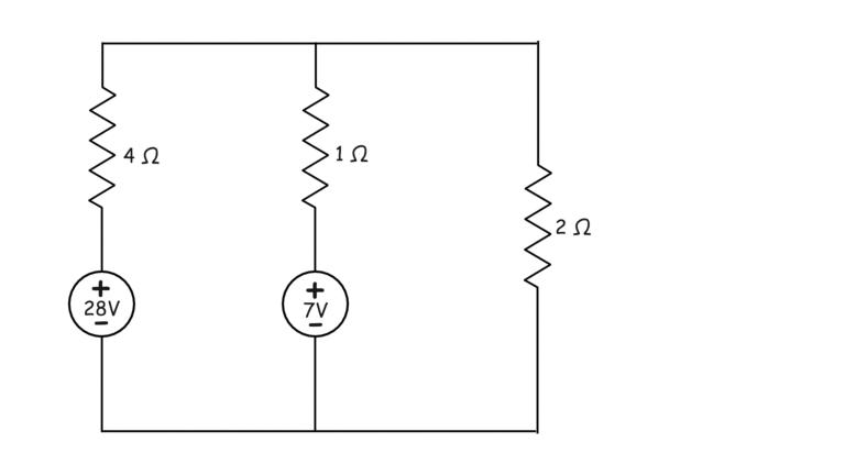
为了理解戴维宁定理,让我们以一个有两个电压源的电阻性有源电路为例,如下图所示。
首先,我们将负载从电路中断开,然后测量电路两端的电压。如果我们认为整个电路是电压源,那么两端的开路电压就是源电压。这个开路电压也被称为泰维宁电压。
现在我们要测量两个端子之间的电阻。
从数学上讲,可以用单个源的内阻来代替它们。在理想电压源的情况下,我们可以用短路来替换单个电压源。
经测量或计算的电路两端的等效电阻称为维宁等效电阻。
整个有源电路或网络是一个由脉宽电阻串联而成的脉宽电压的电压源。
与电流源等效
这里首先将电流源转换成等效电压源,然后我们就可以很容易地计算出电路的开路电压或戴维宁电压和电阻,从而得到等效的戴维宁电压源。
同样的定理也适用于交流有源电路,我们需要处理阻抗而不是电阻。
通过下面的例子,我们可以更好地进一步理解这个定理。
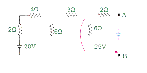
将戴维宁定理应用在下面的电路中,求出负载电流
现在一个一个地按照步骤来做。
步骤1:通过去除负载电阻,缩短电压源和断开电流源(如果有的话)来绘制电路。负载端子以A和B命名。
步骤2:再看开路网络,即从开路端子A和b处。计算电路的等效电阻,即RTh。
现在计算网络的内阻。
你得到了R的值Th= 5欧姆。戴维宁的等效电路。
继续下一步,求出V的值Th。
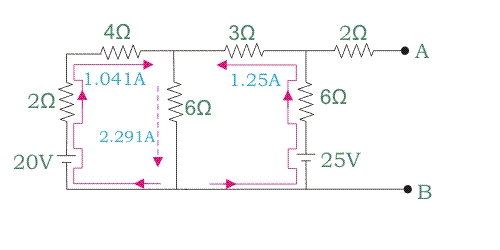
步骤3:按照前面的方法画出电路,但要去掉A和B端子的负载电阻。
步骤4:找到单个循环。应用KVL(基尔霍夫电压定律)求出回路电流。
你从电路中得到两个单独的两个回路。用顺时针方向的箭头标出电流流动的方向。
现在开始申请在任一瞬间在第一个循环中。
[既然你在这个圈子里,考虑一下我1>我2,通过6欧姆电阻(I1——我2电流会流进来。
通过在第二个循环中应用KVL,我们得到
[既然你在这个圈子里,考虑一下我2>我1,通过6欧姆电阻(I2——我1电流会流进来。
通过解两个方程,我们得到我1= 1.041A and I2= 1.25。
所以实际的方向电流如下图所示。
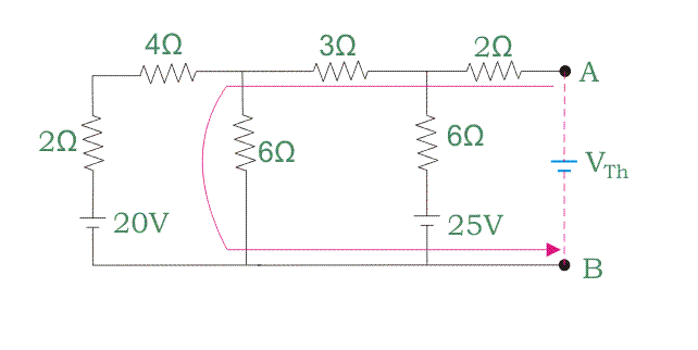
步骤5:从终端A到终端B,选择任意分支路径。计算你在旅途中所面临的总电压。这电压是VTh。
假设这个VTh通过A、B端子连接。
从终点站A出发,沿着任何一条支线到达终点站B。
让我们按照红色标记的路径开始旅程吧。
现在通过应用在任一瞬间我们可以写出来
[A端连接的2欧姆电阻没有电流]
所以特维宁的电压是VTh是17.5 v。
你可以验证V的值Th通过选择电路中从A端到B端的另一条路径。
让我们按照下图选择另一条路径。
现在应用KVL,我们得到
(A端没有通过2欧姆电阻的电流)
步骤6:用计算R的值画出戴维宁的等效电路Th和VTh。连接Rl穿过AB端子。再次应用KVL求出负载电流Il或者直接代入V的值Th, RTh,和Rl在这个公式
现在连接Rl= 10欧姆横跨A和B端子。
再次申请在任一瞬间在这里,
代维宁定理在交流系统中的应用
计算VTh和ZTh我们必须遵循在直流系统来解决问题。但另一件事,即相角的考虑,作为它的交流系统。
让我们开始解决一个问题,重新熟悉一下步骤。
假设电路是
这里端子A和B是负载端子。
步骤1:通过去除负载电阻,缩短电压源和断开电流源来绘制电路。
步骤2:再看开路网络,即从开路端子A和b处,计算电路的等效电阻,即ZTh
步骤3:按照前面的方法画出电路,但要去掉A和B端子的负载电阻。
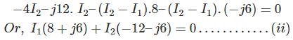
步骤4:找到单个循环。应用KVL(基尔霍夫电压定律)求出回路电流。
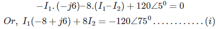
For循环1,
For循环2,
解出来,
步骤5:从终端A到终端B,选择任意分支路径。计算你在旅途中所面临的总电压。这个电压是VTh。
请按照下图红色标记的路径选择路径。
考虑电路中互感的一个特殊问题
没有任何相互归纳法,应用戴维宁定理可以很容易地求出VTh和ZTh。但是,当电路中存在互感效应时,就需要在一般步骤的同时考虑一种特殊的方法。
这种电路如下所示。
首先,根据互感的存在画出这个电路。
现在一个一个地按照步骤来做。但求Z的问题就出现了Th。
但是一个捷径和简单的方法是在a和B端连接一个1伏的电压源,然后从电路中移除电压源。
现在在每个循环中应用KVL。因此计算I的值3.只有。
现在是Z的值Th= 1∠0o/我3.欧姆。
但要找出VTh只需要计算I的值3.从下面给出的电路。
现在计算I的值2。
VTh=我2。4伏特。
所以你得到了戴维宁的等效电路的数据。






在Thevenin定理问题部分,当应用KVL时,两个回路上的电流方向是顺时针的。但是我们知道电流的方向在第二个回路是相反的。在下一节中,当指示电流流时,也使用了同样的方法,在下一节中,电流值将被写入。loop1和loop2的当前值相加。但是在公式中KVL电流I1和I2被减去。
为什么在第二个回路中使用反向电流?
我愿意帮你解决这个问题,你介意链接到你引用的图片吗?这将使制定适当的回应变得容易得多。