当我们研究分析的时候控制系统的瞬态和稳态响应了解一些基本的术语是非常必要的,下面将介绍这些术语。
标准输入信号:这些也被称为测试输入信号。输入信号在本质上是非常复杂的,它之所以复杂是因为它可能是各种其他信号的组合。因此,利用这些信号来分析任何系统的特征性能是非常困难的。所以我们使用测试信号或标准输入信号,它们很容易处理。与非标准输入信号相比,我们可以更容易地分析任何系统的特征性能。现在有各种类型的标准输入信号,它们写在下面:
单元脉冲信号:在时域中,用∂(t)表示。的拉普拉斯变换单位脉冲函数对应的波形如下图所示。
单位阶跃信号:在时域用u (t)表示,单位阶跃函数的拉普拉斯变换为1/s,单位阶跃函数对应的波形如下图所示。
单位匝道信号:在时域中,它由R(t)表示。单位斜坡函数的拉普拉斯变换是1 / s2与单位斜坡函数相关联的波形如下图所示。
抛物线类型信号:在时域中,它由t表示2/ 2。函数抛物型的拉普拉斯变换是1/s3.与抛物线类型相关联的相应波形如下所示。
正弦型信号:在时域中,它由SIN(ωt)表示。LAPPALL的正弦类型的功能是ω/(s2+ω.2),与该函数的正弦类型相关的相应波形如下所示。
余弦类型的信号:在时域中,它由COS(ωt)表示。LAPPAlt变换的余弦类型的功能是ω/(s2+ω.2)和与功能的余弦类型相关联的相应波形如下所示,
现在处于描述两种类型的响应,这是一个时间的响应。
控制系统的瞬态响应
顾名思义控制系统的瞬态响应意味着改变所以,这主要发生在两个条件之后,并且这两个条件写得如下 -
- 条件一:在将输入信号应用于系统的输入信号时,刚切换“ON”。
- 条件二:在任何异常情况发生之后。异常情况可能包括负载突然变化、短路等。
控制系统的稳态响应
稳定状态是指系统稳定后,系统开始正常工作。控制系统稳态响应是输入信号的函数,它也被称为强制响应。
现在瞬态响应控制系统清楚地描述了系统功能期间的功能控制系统的瞬态和稳态响应清楚地描述系统在稳定状态下的功能。因此,对两种状态的时间分析是非常必要的。我们将分别分析这两种类型的反应。让我们先分析一下瞬态响应。为了分析瞬态响应,我们有一些时间规范,它们写为:
延迟时间 :这次是由t表示的D.。响应第一次达到最终值的50%所需要的时间,这个时间称为延迟时间。延迟时间清楚地显示在时间响应规格曲线中。
上升时间:这次是由t表示的R.,可以用上升时间公式。我们在两种情况下定义上升时间:
- 在沉积系统下的情况下,在ζ的值小于一个的情况下,在这种情况下,上升时间被定义为响应从零值达到百分之百的最终值所需的时间。
- 在过阻尼系统中,ζ值大于1,在这种情况下,上升时间定义为响应从最终值的10%达到90%所需要的时间。
高峰时间:这次是由t表示的P.。响应第一次达到峰值所需要的时间,这个时间称为峰值时间。峰值时间清楚地显示在时间响应规格曲线中。
安定时间:这次是由t表示的S.,可以用建立时间公式。第一次,响应响应和在指定范围内的响应在其最终价值的规定范围内,这次被称为稳定时间。在时间响应规范曲线中清楚地示出了稳定时间。
最大过冲:它(一般)表示为稳态值的百分比,它被定义为响应与其期望值的最大正偏差。这里的期望值是稳态值。
稳态错误:定义为当时间趋于无穷时实际输出和期望输出之间的差值。现在我们可以对一阶系统进行时间响应分析了。
一阶控制系统的瞬态状态和稳态响应
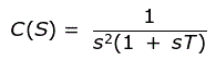
让我们考虑一阶系统的方框图。
从这个框图中我们可以找到整体转换功能本质上是线性的。一阶系统的传递函数为1/((sT+1))。我们将分析以下标准信号的控制系统的稳态和暂态响应。
- 单位脉冲。
- 单位阶跃。
- 单位斜坡。
单位脉冲响应:我们有单位冲动的拉普拉斯变换是1.现在让我们将这个标准输入给第一订单系统,我们有
现在对上面的方程做拉普拉斯逆变换,我们得到
很明显控制系统稳态响应只取决于时间常数T,它在自然中衰变。
单位阶跃响应:我们的LAPPAlt变换为单位脉冲是1 / s。现在让我们将这个标准输入给第一订单系统,我们有
在部分分式的帮助下,对上面的方程做拉普拉斯逆变换,我们得到
很明显,时间响应只取决于时间常数T。在这种情况下稳态误差是零,因为让极限t趋于零。
单位斜坡响应:我们有单位冲动的拉普拉斯变换是1 / s2。现在让我们将这个标准输入给第一订单系统,我们有
在部分分式的帮助下,对上面的方程做拉普拉斯逆变换
通过将极限T绘制的时间绘制时间的指数函数,趋于零。
二阶控制系统的瞬态状态和稳态响应
让我们考虑二阶系统的框图。
从这个方框图中我们可以发现整体传递函数是非线性的。二阶系统的传递函数为(ω2/ {s(s +2νω)}。我们将分析控制系统的暂态响应对于以下标准信号。
单位脉冲响应:单位脉冲的拉普拉斯变换是1。现在我们给出二阶系统的标准输入,我们有
式中,ω为固有频率,单位为rad/sec,ζ为阻尼比。
单位阶跃响应:我们的LAPPAlt变换为单位脉冲是1 / s。现在让我们将这个标准输入给第一订单系统,我们有
现在我们将看到不同ζ值对响应的影响。根据不同的ζ值,我们有三种类型的系统。
- 在阻尼系统下:当ζ的值小于一个时,据说系统被置于阻尼系统下。在这种情况下,根部是复杂的,实际部分总是负。系统渐近稳定。上升时间比其他系统较小,存在有限的过冲。
- 临界阻尼系统:当ζ值为1时,称一个系统为临界阻尼系统。在这种情况下,根在本质上是真实的,而真实的部分在本质上总是重复的。系统渐近稳定。此系统的上升时间较短,且不存在有限超调。
- 过度阻尼系统:当ζ值大于1时,称一个系统为过阻尼系统。在这种情况下,根是实数且性质不同,而且实数部分总是负的。系统渐近稳定。上升时间大于其他系统,且不存在有限超调。
- 持续振荡:当的值为零时,一个系统被称为维持阻尼系统。在这种情况下没有阻尼。
现在让我们通过针对二阶系统的单位步骤输入导出上升时间,峰值时间,最大过冲,建立时间和稳态误差的表达式。
上升时间 :为了推导出上升时间的表达式,我们必须使c(t) = 1的表达式相等。从上面我们得到
解上述方程时,我们得到上升时间等于
高峰时间:在区分C(t)的表达上,我们可以获得峰值时间的表达。DC(t)/ dt = 0我们有峰值时间的表达,
最大超调:现在,从图中可以清楚地看出,在峰值时间TP时会出现最大过冲,因此在放置峰值时间的值时,我们将获得最大的过冲
解决时间:建立时间由表达给出
稳态错误:稳态误差是实际输出和期望输出之间的差异,因此在时刻趋于无穷时,稳态误差为零。





