内容
什么是普遍盖茨?
一种通用门是一个逻辑门,可以实现任何布尔函数,而无需使用任何其他类型的逻辑门。该也不是门和NAND门是普遍的门。这意味着您可以使用仅使用或仅使用Nand Gates创建任何逻辑布尔表达式。
在实践中,这是有利的,因为尚不和NAND门是经济的,并且比其他逻辑门更容易制造。这么多和门通常以逆变器(不是另外的方式)作为NAND门来实现!同样,An.或门通常意识到作为逆变器的NOR门。
其他逻辑门 - 如和盖茨那不是盖茨和或门- 没有这种普遍性的财产。注意合并这三个逻辑门可以实现所有可能的布尔切换功能,但不是单独的。因此,与NOR和NAND逻辑门不同,它们不被归类为通用门。
如果您将这些普遍栅栏与电子项目的一部分一起游戏,其中许多最好的Arduino Starter Kits包含这些普遍也不是NAND盖茨。
现在我们将看看或盖茨和NAND盖茨的运作普遍门口。
NAND门是一个通用门
下图是两个输入的NAND门。第一部分是一个和门第二部分是表示不门之后的点。
在NAND门的操作期间,输入首先通过并在此之后以及之后,输出变为反转,我们得到最终输出。现在我们会看看真相表NAND门。
我们将考虑上述NAND门的真相表I.E.2输入NAND门。两个输入是A和B.
现在我们将看到该门如何用于制作其他门。
这是用于使工作的NAND门的电路图,如NOT门,除了下面的电路图之外,不给出NOT门的原始逻辑门图。
以上图是一个或门由NAND门的组合制成,以适当的方式排列。在图中还给出了OR门的真相表。
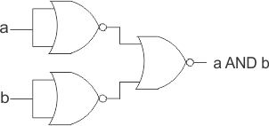
现在我们将看到来自NAND门的A和GATE的设计。
以上图是由NAND门制成的A和栅极。因此,我们可以看到所有三个基本盖茨只能使用NAND Gates,这就是为什么这个门被调用通用门,它是合适的。
也不是门作为通用门
我们已经看到了NAND门如何使用单独使用这三个基本门。现在我们将在没有门口的情况下讨论相同的。
以上图是仅使用或门的栅极。该门的输出与单个或门的输出完全相类似。我们可以看到使用或门的电路布置,门和门类似于使用NAND门的栅极。
以上图作为名称表明是和门仅使用NOR GATE,我们可以看到使用的电路图和门的电路图和门的电路图与仅使用NAND门的栅极与NAND门的电路图与之完全相类似的。现在我们终于看到了我们如何通过仅使用或门来制作一个不门。
以上图是通过使用NOR门制成的NOT门。电路图类似于不使用NAND门制成的NOT门。
因此,从上面的讨论中,很清楚,只能通过使用NOR GATE来制作所有三个基本栅极(以及,或不)。因此,它可以恰当地称为通用门。





