直流-直流转换器也被称为直升机。这里我们来看看降压斩波器或降压变换器将输入直流电压降低到指定的直流输出电压。
一个典型的降压变换器如下所示。
输入电压源连接到一个可控制的固态设备上,该设备作为开关工作。固态器件可以是功率场效应晶体管或IGBT。晶闸管一般不用于直流-直流转换器,因为要在直流-直流电路中关闭一个晶闸管,需要进行另一个晶闸管换流,这涉及到使用另一个晶闸管晶闸管,而功率MOSFET和IGBT可以通过简单地让功率MOSFET的门极和源极之间的电压,或者IGBT的门极和集电极之间的电压为零来关闭。
使用的第二个开关是a二极管。开关和二极管连接到一个低通LC滤波器,它被适当地设计来减少当前的和电压波动。负载是纯电阻负载。
输入电压是常数,通过负载的电流也是常数。负载可以看作是电流源。
使用脉冲宽度调制(PWM)打开和关闭受控开关。PWM可以是基于时间的或基于频率的。基于频率的调制具有缺点,如宽范围的频率,以实现对开关的所需控制,这又提供所需的输出电压。这导致了用于处理大范围频率的低通LC滤波器的复杂设计。
基于时间的调制主要用于直流-直流转换器。它的构造和使用都很简单。在这种类型的PWM调制中,频率保持恒定。
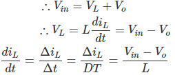
的巴克转换器有两种操作模式。第一种模式是开关接通并导电时。
模式I:开关为ON,二极管为OFF
的电压在整个电容在稳态下等于输出电压。
我们假设开关开了一段时间T在休息一段时间从。我们定义时间段T为
开关频率,
现在我们来定义另一个术语,占空比,
让我们分析稳态工作的Buck变换器在任一瞬间。
因为开关关闭了一段时间T在我们可以说δ。
在对Buck变换器进行分析时,我们必须记住这一点
- 电感电流是连续的,这是通过选择一个适当的L值来实现的。
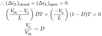
- 电感电流在稳态时,从一个斜率为正的值上升到开状态时的最大值,然后又下降到初始值,斜率为负。因此,电感电流在任何一个完整周期内的净变化量为零。
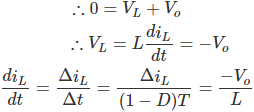
模式II:开关关闭,二极管打开
这里,能量储存在电感器释放并最终在负载中消散电阻,这有助于保持流当前的通过负载。但是,对于分析,我们保留原始惯例来分析电路在任一瞬间。
让我们现在分析巴克转换器在稳态运行模式II使用KVL。
因为开关打开了一段时间
我们可以说δt = (1- D) t。
已经确定,在任何一个完整的循环中电感电流的净变化为零。
降压变换器的电路及其波形如下图所示。
的电感L, 100µmh和C F和电阻负载5Ω。开关频率为1 kHz。输入电压为100V DC,占空比为0.5。
电压波形如图所示,电流波形如下图所示。





