我们使用的大部分设备都是AC设备。他们需要交流电源进行操作。我们没有多少设备,适用于直流用品。但随着电子设备的进步,DC正在获得其重要性,因为这些设备提供了一种有效的AC方法来转换。早些时候,我们使用了同步转换器,但转换过程非常有损和效率低下。但是现在电子设备如二极管用于转换AC至DC。我们需要DC设备等DC设备,如计算机,电池充电器等所有这些都是可能的半导体技术。
现在整流器是将DC转换为AC的过程。这是转换过程的第二阶段。它将交流电压波形转换为整流电压。
现在,我们有其他类型的矫正方法也可以使用。所以,我们可能会想,如果有其他方法可用,为什么我们需要这种方法?这个问题的答案是,它提供了某些优点,如不需要中心抽头变压器,高变压器利用因素,因此对于与其他方法相比提供的优点,使用它。
二极管桥式整流器原理
如图所示,我们有四个二极管连接在一起。为了降低电压,用了一个变压器电压在输出处的所需水平上,连接负载,该载荷消耗功率: - 桥式整流电路和波形(整流)。当变压器二次的上端为正,二极管D1和D.3.正向偏见,电流流过它们。电流通过D1和叶d3.同样地,在另一个半周期内,d2和D.4.正向偏见,当前进入D.2和叶子通过d4.到来源。
这里,电容器用作过滤纹波频率的过滤器,并提供具有较少纹波频率的直流电压。要在输出中获得受调节的直流电压,我们必须使用a电压调节器过滤操作后。
二极管桥式整流器的数学分析
如果二极管具有r的正向电阻,则峰值电流通过负载F然后
在这里,我们得到了两倍的前瞻性阻力。假设所有二极管具有相同的正向电阻,两端使用两次半周期,两次正向电阻将进入表达。
输出电流
哪里,
一世DC.是流过负载的电流的直流值,IM是AC电流的峰值。
直流输出电压
哪里,
V.DC.输出直流电压,iDC.是电路中流动的直流电流,R是电路中连接的负载电阻。
RMS输出电流
rms输出电压
形状因子和波峰因子
构成因素,
在哪里,五Avg.是平均值或直流电压。
输出频率
在哪里,F出输出频率和f在是输入或供应频率。
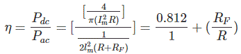
整流效率
波纹因子
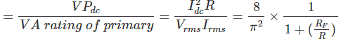
TUF或变压器利用率因子
二极管桥式整流器的优点
- 双校正效率然后半波整流器。
- 低纹波电压和较高频率,因此需要简单的过滤电路。
- 更高的TUF然后中心螺纹整流器。
- 不需要中央点按变压器。
- 反向峰值电压是中心抽头电压的一半。
二极管桥式整流器的缺点
需要四个二极管,因此整流器的成本将更多。





