而电容器通过a连接电池,电荷来自电池,并存储在电容器板。但是这个能量储存的过程只是一步一步的。
在一开始,电容器没有任何电荷或电势。即V = 0伏,q = 0 C。
现在,在切换的时候,充满电池电压会落在电容器上。一个正电荷(q)将到达电容器的正极板,但没有做功为这个第一个电荷(q)来从电池到电容器的正极板。这是因为电容器它的极板上并没有自己的电压,而是由于电池的初始电压。第一个电荷通过电容器板增加少量的电压,然后第二个正电荷将到达电容器的正极,但被第一个电荷消除。随着电池电压大于电容器电压,然后这个第二电荷将被存储在正极板。
在这种情况下,需要做少量的功来存储second电容器内充电。对于第三个电荷,同样的现象会出现。逐渐地,电荷将与预先存储的电荷一起存储在电容器中,而它们所做的少量功将增加。
不能说电容电压是固定的。这是因为电容电压从一开始就不是固定的。当电容器的效能与电池的效能相等时,它将达到最大限度。
随着电荷的存储增加,电容器的电压增加,电容器的能量也增加。
所以在讨论的这一点上,能量方程电容器不能写成能量E = v。q吗
当电压增加时电场(E)电容器内部的电介质逐渐增大,但方向相反,即从正极板到负极板。
这里dx是电容器两个极板之间的距离。
电荷将从电池流到电容器板,直到电容器获得相同的效能电池。
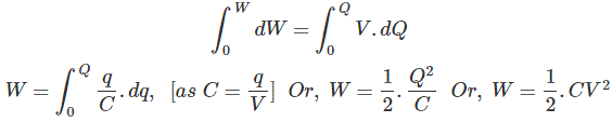
所以,我们必须计算电容的能量从开始到充电的最后一刻。
假设,一个小电荷q储存在电容器对电池电压V做的功是dW。
那么考虑总充电时间,则有:
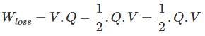
现在我们来看看电池在充电过程中电容器的能量损失。
当电池处于固定电压时,电池的能量损失总是遵循W = V.q的公式,这个公式不适用于电容器,因为它从电池开始充电时就没有固定的电压。
电容器从电池中收集的电荷是
现在电荷损失了电池是
这一半的能量来自于总能量电容器剩下的一半能量会自动从电池中流失,这一点应该一直记住。





