在现代电源系统,功率通常由许多人提供同步发电机并行连接有助于保持植物操作的连续性。现在一天,孤立的一个大发电机已经过时。当我们连接两个时并行发电机在美国,他们倾向于保持步调一致。通过改变它们的电枢电流,并将发电机正确地连接到现有的母线,这个问题可以得到解决。
并行直流发电机的连接
- a中的发电机发电站,由厚厚的铜棒连接,称为母线,其充当正极和负端子。为了并联连接发电机,发电机的正极端子连接到汇流条的正端子,并且发电机的负端子连接到汇流条的负端子,如图所示。
- 将2个发电机与1个现有的工作发生器连接,首先,我们必须将第二发电机的主要动力器的速度带到额定速度。在此点开关s4.是关闭的。
- 该断路器V.2(电压表)通过打开的开关S连接2关闭以完成电路。在字段的帮助下,发电机2的激励增加变阻器直到它产生电压等于汇流条的电压。
- 主开关s2然后关闭,发电机2准备好与现有发生器并联。但是在这种时间点,发生器2没有将任何负载作为其诱导的e.m.f。等于汇流条电压。目前的条件被称为浮动,这意味着准备供应但不提供当前到负载。
- 为了从发电机2提供电流,它必须引起e.m.f.E应大于汇流条电压V.通过强化磁场电流,诱导的e.m.f。可以提高发电机2,电流供应将开始。为了保持母线电压,发电机1的领域被削弱,因此值保持恒定。
并联直流发电机的负载分担
负载通过调节感应电动势转移到另一台发电机上,但在现代发电站,一切都是由“同步镜”完成的,它向原动机的调控器发出指令。假设两台发电机负载不同电压。然后将在这些生成器之间共享共享
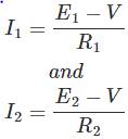
电流输出的值取决于E的值1和E.3.哪个可以由字段管理rheostats.保持母线电压恒定。
直流发电机的并行操作的优点
成本效益:-电力当发电机根据其容量和易于管理需求和供应要求时,成本降低了电力。如果有较少的权力要求,可以在保持或启动Visa Visa上采取一个或多个单位。
平稳供电:-在发生发电机的故障情况下,电源供应不会被破坏。如果在一个发生器中出现问题,则可以通过其他健康单位继续电力的连续性。
易于维护: -生成器的日常维护是需要时间的。但是对于那种电力供应不能阻碍。在并行发电机中,程序校验可以逐个完成。
易于增加植物能力: -电力需求日益增加。满足要求发电,其他新单元可以与运行单元并联运行。
并行连接期间的预防措施
- 每个发电机的规格彼此不同。当它们在一起同步时,它们的速度被锁定为系统的整体速度。
- 整个系统的负荷应该分布在所有的发电机上。
- 应该有一个控制器随时检查发动机的各项参数。这可以用市场上的现代数字控制器来完成。
- 整个系统中的电压调节起着重要作用。的情况下电压下降在一个单元中与其他单位进行比较,最终轴承整体电压并行发电机系统的负载。
- 当将端子连接到汇流排时,应采取额外的预防措施。如果发电机与棒的极性连接错误,可能会导致短路。






Thanku
别担心,吉腾德拉——我希望这对你有所帮助。