什么是时间常数?
时间常数 - 通常由希腊字母τ(TAU)表示 - 用于物理和工程,以表征对A的步骤输入的响应第一个订单,线性时间不变(LTI)控制系统。时间常数是一阶LTI系统的主要特征单元。
时间常数通常用于表征RLC电路的响应。
为此,让我们推导出RC电路的时间常数,以及RL电路的时间常数。
RC电路的时间常数
让我们拍摄简单的RC电路,如下所示。
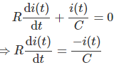
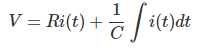
让我们假设电容器最初不变,开关S在时间t = 0关闭。关闭开关后,电流i(t)开始流过电路。申请Kirchhoff电压法在那里面单网电路我们得到,
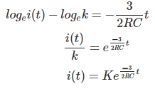
与时间t相对于时间t,我们得到了,
整合双方我们得到,
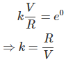
现在,在t = 0,电容器表现为短路,所以,就在关闭开关后,电流通过电路将是,
现在,将此值放在等式(i)中,我们得到,
在等式(i)处k的值,我们得到,
现在,如果我们在电路电流I(t)的最终表达式中放入T = RC,我们得到了,
从上述数学表达式中,清楚的是,RC是秒的时间在其中充电电容器从初始值中减少36.7%。初始值意味着在不变的情况下的电流电容器。
该术语在分析电容和电感电路的行为方面非常显着。这个术语被称为时间常数。
所以时间常数是持续时间在几秒钟内,通过容量电路的电流占其初始值的36.7%。这是数值等于电路的电阻和电容值的乘积。时间不变通常由τ(tau)表示。所以,
在复杂的RC电路中,时间常数将是电路的等效电阻和电容。
让我们更详细地讨论时间常数的重要性。为此,让我们首先绘制电流I(t)。
在t = 0,电流通过电容器电路是
在t = rc,电流通过电容器是
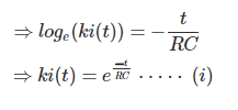
让我们考虑另一个RC电路。
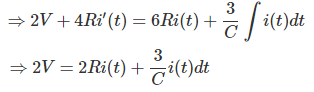
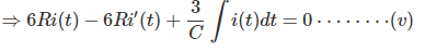
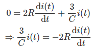
电路方程使用kvl.上述电路是,
和
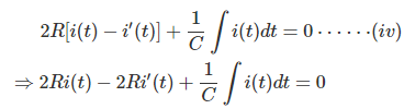
来自(iii)和(v)
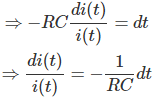
与时间t相对于时间t,我们得到了,
整合双方我们得到,
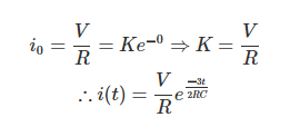
在t = 0,
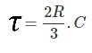
该电路的时间常数为2RC / 3秒。现在,电路的等效电阻是,
电路的时间常数已成为。
RL电路的时间常数
让我们考虑一个例子系列RL电路。
申请Kirchhoff电压法在上面的电路中。我们得到,
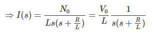
等式也可以解决拉普拉斯变换技术。为此,我们必须采取拉普拉斯变换两侧的等式,
因此,在这个等式中。
由于电流在开关接通后,电流通过电感器将是零。
现在,
我们得到了上述等式的逆拉普拉斯,
现在,如果我们放了,
我们得到,
在RL电路,在时间= L / R SEC,电流变为最终稳态值的63.3%。L / R称为AN的时间常数LR电路。让我们绘制当前的电感器电路。
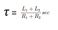
时间常数LR电路是电感与电路电阻的比率。让我们接受另一个人。
该电路可以重新绘制,
因此,电路的时间常数将是





