晶体管是广泛使用的一种半导体用于广泛应用的器件,包括放大和开关。然而,为了圆满地实现这些功能,晶体管必须提供一定数量的当前的和/或电压。为晶体管电路设定这些条件的过程称为晶体管的偏置。这一目标可以通过产生不同类型的偏置电路的各种技术来实现。然而,所有这些电路都是基于提供适当数量的基极电流的原则B并使集电极电流,IC从供应电压, VCC当输入端没有信号时。此外,集电极电阻RC必须选择使集电极-发射极电压VCE锗晶体管大于0.5V,硅晶体管大于1V。下面解释几个充足的偏置电路。
固定基极偏压或固定电阻偏压
图1所示的偏置电路有一个底座电阻器RB连接在底座和V形底座之间CC。在这里,晶体管的基极-发射极结是正向偏压的电压降在RB哪个是I的结果B流经它。由图可知,I的数学表达式B获得的是
这是V的值CC和V是是固定的,而RB的值是恒定的,一旦电路设计。这导致I是一个常数值B产生一个固定的工作点,因此电路被称为固定基极偏置。这种偏置,导致(β+1)的稳定系数导致非常差的热稳定性。这背后的原因是事实的β参数a晶体管是不可预测的,甚至在相同型号和类型的晶体管的情况下,也有很大程度的变化。β的这种变化导致I的巨大变化C在建议的设计中,任何方法都无法补偿。由此可以得出结论,这种β依赖的偏压倾向于操作点的变化所带来的变化晶体管特性和温度。
然而,需要注意的是,固定基偏置是最简单的,并且使用较少的组件。此外,它还为用户提供了一个机会,只要改变R的值,就可以在活动区域的任何地方改变工作点B在设计。此外,由于没有跨基极-发射极结的电阻,它在源上没有负载。由于这些因素,这种偏置被用于开关应用和实现晶体管的自动增益控制。这里是other的表达式电压和电流给出了作为
收集反馈偏差
在该电路中(图2),基极电阻RB穿过集电极和晶体管的基极连接。这意味着基极电压VB集电极电压VC是相互依存的,因为
在那里,
从这些方程可以看出,IC减少VC这导致了一个简化的IB,自动减少IC。这表明,对于这种偏置网络,q点(工作点)保持固定,无论负载电流的变化引起晶体管无论β值如何,始终处于其活动区域。此外,该电路也被称为自偏置负反馈电路,因为反馈是通过R从输出到输入B。这种相对简单的偏置有一个稳定因素是小于(β+1),这导致一个更好的稳定性时,固定偏置。然而,通过基极电流降低集电极电流的作用会导致放大器增益降低。
在这里,其他电压和电流表示为
双反馈偏差
图3显示了一个双反馈偏置网络,这是一个即兴在集电极反馈偏置电路,因为它有一个额外的电阻R1这样就增加了电路的稳定性。这是因为增加通过基极电阻的电流会导致网络对β值的变化产生抵抗。
在这里,
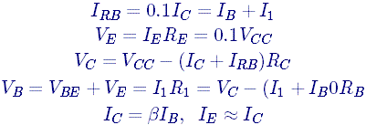
固定偏压与发射极电阻
如图4所示,这个偏置电路只不过是一个固定的偏置网络,外加一个发射极电阻RE。在这里,如果我C由于温度的升高,IE也会进一步增加电压降在RE。这就导致了V的减少C,引起I的减少B这反过来又会带来我C回到它的正常值。因此,与固定基偏置网络相比,这种偏置网络具有更好的稳定性。但是RE降低放大器的电压增益,因为它导致不必要的交流反馈。在该电路中,给出了不同电压和电流的数学方程
发射器的偏见
这个偏置网络(图5)使用两个电源电压, VCC和VEE它们的极性相等但相反。这里VEE正向偏置基极-发射极结通过RE而VCC反向偏置集电极-基极结。此外
在这种偏见下,我C可以使β和V是通过选择RE> > RB/β和VEE> > V是分别;从而得到一个稳定的工作点。
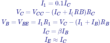
发射器反馈偏差
这种自发射极偏置(图6)采用了集电极-基极反馈和发射极反馈,以获得更高的稳定性。这是因为,在这里,发射极-基极结受到发射极电阻R上的压降的正向偏置E由于发射极电流的流动,IE。温度的升高使温度升高C,引起发射极电流的增加E。这也会导致电压降在RE降低集电极电压VC反过来我B,从而带回IC恢复到原来的价值。
然而,由于退行性反馈的存在,这导致了输出增益的降低,而退行性反馈只不过是一个不需要的交流反馈,其中的数量当前的通过反馈电阻是由集电极电压V的值决定的C。这种效应可以通过在发射极电阻R上使用一个大的旁路电容来补偿E。给出了这种低功率、低供压偏置网络中各种电压和电流对应的表达式
分压器的偏见
这种偏置网络(图7)采用了分压器形成的电阻R1和R2使晶体管偏置。这意味着电压在R上的变化2它的基极电压是晶体管正向偏斜它的基极-发射极结。一般来说,电流通过R2将固定为所需基电流的10倍,IB(也就是我2= 10我B)。这样做是为了避免其对分压器电流或β变化的影响。进一步,从电路,一个人得到
在这种偏见下,我C对β和V是这导致稳定系数为1(理论上),最大可能的热稳定性。这是因为,我C由于温度升高而增大(也增大而引起发射极电压V的增大)E从而降低基极-发射极电压V是。这将导致基极电流I的减小B恢复我C恢复到原来的价值。尽管由于R的存在而降低了放大器的增益,但这种偏置电路所提供的较高的稳定性使其得到了最广泛的应用E。
除了分析偏置网络的基本类型外,双极结型晶体管(BJTs)也可以使用有源网络或使用硅或稳压二极管。此外,还应注意到,虽然偏置电路的解释以下是,类似的偏倚网络也存在于场效应晶体管(场效应晶体管)。




