Z参数是什么?
Z参数(也称为阻抗参数要么开路的参数)是电气工程中用来描述线性电网络的电行为的性质。这些z参数用于z矩阵(阻抗矩阵)来计算输入和输出电压和电流的网络。
z参数也被称为“开路阻抗参数”,因为它们是在开路条件下计算的。也就是说,我x=0,其中x= 1,2为流过a端口的输入输出电流两个端口网络。
z参数通常使用Y参数,h参数,和ABCD参数建模和分析输电线路。
如何在两个端口网络中找到Z参数
以下示例介绍了如何计算双端口网络的Z参数。注意,Z参数也称为阻抗参数,并且这些术语在这些示例中可互换使用。
两个端口网络的输入和输出可以是电压或电流。
如果网络是电压驱动的,可以表示为:
如果网络是由电流驱动的,可以表示为如下所示。
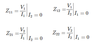
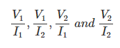
从上面的两个图中可以清楚地看出,只有四个变量。一对电压变量V1和V.2还有一对当前变量I1和我2。因此,只有电压与当前的,那些是,
这四个比率被认为是网络的参数。我们都知道,
这也是为什么要调用这些参数阻抗参数要么Z参数。
这些的价值Z参数S of A.两个端口网络,可以通过做一次来评估
另外一次
让我们简单解释一下。为此,首先,我们使网络的输出端口开路,如下图所示。
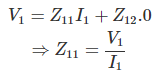
在这种情况下,由于输出是打开的,将没有当前的在输出端口。即
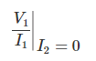
在这种情况下,输入的比率电压输入电流在数学上表示为:
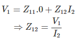
这被称为网络的输入阻抗,而输出端口是打开的。这个用Z表示11
所以,最后,
同样的,
现在,电压源V2连接到作为输出端口的端口2连接,端口1或输入端口保持打开,如下所示
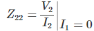
现在,v的比例2和我2在我1= 0,
这叫做开路输出阻抗。同样的,
因此,
因为所有这些都显示出来了Z参数已通过打开的电路输出端口或输入端口获得,参数也称为开路阻抗参数。
现在,我们可以把所有的都联系起来电压以及a的当前变量两个端口网络通过这些Z参数。
这两个方程可以用矩阵形式表示,如下图所示:
在(i)式中,如果我们把i2= 0,我们得到,
类似地,如果我们把I1= 0,在相同的等式中,我们得到,
同样地,把I2= 0 and I1= 0或由式(ii)可以证明:
Z11和Z.22也称为驱动点阻抗。
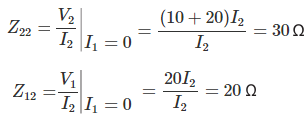
Z21和Z.12也被称为转移阻抗。为了更好地理解,让我们乘坐下面的电路,
让我们放一个电压源V1在输入,
现在,
现在,让我们连接一个电压源V2在输出端口,并保持输入端口打开,如下所示
现在,
所以,在这里,
当在一个两个端口网络我们得到了,
我们可以称之为对称网络。从这里,
因为这个比率是一样的电压在任何端口的结果都是一样的电流在网络。
这意味着如果我们施加电压V1在输出端,输出电流为I1。这意味着网络将在输出和输入端口之间具有镜像对称,这与假想的中心线有关。
当我们得到,
手段,
也就是说,如果网络的输入激励和输出响应相互交换,则传递阻抗保持不变。
假设,V是输入电压,i是网络中的输出电流,如下所示。
现在我们把a连接起来目前的来源I在输入端,所以电压在输出端口,网络的响应为,V。
这是因为电压与当前的在两种情况下,输入和输出之间保持相同。这是互惠定理。该两个端口网络像这样的行为被称为互反网络。
对于对称网络,
互惠的网络





