什么是电压调节?
电压调节是对电压变化的量度电压一个组件的发送端和接收端之间的幅度。在电力工程中常用来描述空载和满载配电线路电压差百分比,输电线路,《变形金刚》。
变压器电压调节说明
说一个电力变压器开路,即负载没有连接到次级端子。在这种情况下,二次端电压变压器它的二次感应电动势是E吗2。
当一个满载连接到变压器的次级端子时,额定当前的我2电流通过二次电路,电压降进入画面。在这种情况下,一次绕组也将从源吸收等效的满载电流。的电压降第二是我2Z2在Z2是次要的阻抗的变压器。
现在,如果在这种负载条件下,任何一个测量二次端子之间的电压,他或她将得到电压V2跨负载端子明显小于无负载的二次电压E2这是因为I2Z2变压器的电压降。
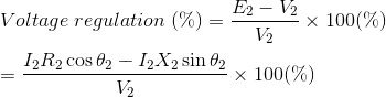
变压器电压调节表达式
方程变压器电压调整,用百分数表示为
变压器电压调节的滞后功率因数
现在我们将详细推导电压调节的表达式。说落后功率因数载荷的角是cosθ2这意味着二次电流和电压的夹角是θ2。
从上面的图表来看,
OC与OD之间的夹角可能非常小,可以忽略,认为OD与OC即OD几乎相等。
变压器电压调整在滞后功率因数时,
变压器的引导功率因数的电压调节
假设负载的领先功率因数为cosθ,我们推导出与领先电流有关的电压调节表达式2这意味着二次电流和电压的夹角是θ2。
从上面的图表来看,
OC与OD之间的夹角可能非常小,可以忽略,认为OD与OC即OD几乎相等。
变压器引线电压调整功率因数,
变压器的零电压调节
“零电压调节”是指它的“空载电压”和“满载电压”没有区别。这意味着在上面的电压调节方程中,电压调节等于零。这是不现实的,而且只是理论上可能的理想变压器。





