在申请适当之前电气保护系统,有必要通过了解条件电力故障期间的系统。知识电气故障需要在电力系统的不同位置部署适当的不同保护继电器。
关于最大值和最小故障电流的值的信息,电压根据电力系统不同部分的电流的幅度和相位关系的差错,以收集适当的应用保护继电器这些不同部分的系统电力系统。从系统的不同参数收集信息通常已知为电气故障计算。
故障计算广泛意味着故障计算当前的在任何电力系统中。主要有三个步骤来计算系统中的故障。
- 选择阻抗旋转。
- 将复杂的电力系统网络减少到单个等效阻抗。
- 电气故障电流和电压计算使用对称部件理论。
电力系统的阻抗表示法
如果我们看任何电力系统我们会发现,这些是几个电压电平。例如,假设在6.6 kV下产生电力的典型电力系统,然后将132kV电源传输到端子变电站,其中踩到33kV和11kV水平,并且该11 kV水平可以进一步下降到0.4kV。
因此,从该示例中很清楚,相同的电力系统网络可以具有不同的电压电平。因此,在所述系统的任何位置计算故障变得非常困难,并且复杂地尝试根据其电压电平计算系统的不同部位的阻抗。
如果我们参考单个基本值计算系统的不同部分的阻抗,则可以避免这种难度。这种技术被称为阻抗表示法电力系统。在其他病区之前,之前电气故障计算,系统参数必须参考基础数量
以欧姆,百分比或单位值表示为均匀的阻抗系统。
电力和电压通常被视为基础数量。在三相系统那三相权力在MVA或KVA中,被视为基本电源,并以KV线电压线被视为基极电压。系统的基础阻抗可以由这些基本功率和基极电压计算,如下所述,
每单位是任何系统的阻抗值,只不过是系统对基本阻抗值的实际阻抗的无线电。
百分比阻抗
可以通过乘以100来计算价值每单位价值。
它有时需要转换每单位用于简化不同的新基本值的值电气故障计算。在这种情况下,
选择阻抗表示法取决于系统的共谋。一般基础电压选择一个系统,所以它需要最小的转移数。
假设,一个系统作为头部线的大量132 kV,数量为33 kV线和11kV线的数量很少。系统的基极电压可以选择为132 kV或33 kV或11 kV,但这里是最好的基础电压132 kV,因为它需要最小的转移次数故障计算。
网络减少
在选择正确的阻抗表示法之后,下一步是将网络减少到单个阻抗。首先,我们必须转换所有发电机的阻抗线,电缆那变压器到共同的基本价值。然后,我们准备了一种示意图,电力系统示出了引用所有那些发生器,线,电缆和变压器的相同基本值的阻抗。
然后,通过使用STAR / DELTA变换,网络随后降低到共同的等效单抗冲击。应为正,负和零序列网络准备单独的阻抗图。
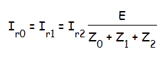
相位错了由于它们是均衡的,因此在三相中是对称的,并且可以从单相正序阻抗图计算。所以三相故障电流由,
在哪里,我F是总三相故障电流,V是中性电压Z的阶段1是系统的总正序阻抗;假设在计算中,阻抗在电压基座上以欧姆表示。
对称分量分析
上述故障计算是在假设三相平衡系统上进行的。仅在所有三个阶段中的电流和电压条件相同时,仅对一个阶段进行计算。
当发生实际故障时电力系统(如阶段到接地故障,相位故障和双相到接地故障,系统变为不平衡装置,所有阶段的电压和电流的条件不再对称。这些缺陷通过对称分量分析。
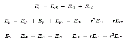
一般来说三相矢量图可以用三套平衡向量代替。一个具有相反或负相旋转,第二具有正相旋转,最后一个是共相。这意味着这些向量集分别被描述为负,正和零序列。
相位和序列数量之间的等式是,
所以,
所有数量都被称为参考阶段R.
。
类似地,也可以为序列电流写入一组等式。从,电压和当前方程式,可以容易地确定系统的序列阻抗。
的发展对称分量分析取决于使得在阻抗的平衡系统中,序列电流只能引起电压滴相同的序列。一旦序列网络可用,可以转换为单个等效阻抗。
让我们考虑z1,z.2和Z.0.系统的阻抗分别对正,负和零序电流的流动。
对于地球故障
相位故障
双相到地球故障
三相故障
如果需要网络的任何特定分支中的故障电流,则在组合在该分支中流动的序列分量之后可以计算相同的。这涉及通过根据其相对阻抗在其各自的网络中求解上述等式来确定的序列分量电流的分布。电压它的任何点也可以确定一旦序列分量的电流和每个分支的序列阻抗都是已知的。
序列阻抗
正序阻抗
调用系统提供给系统流动流的阻抗正序阻抗。
负序阻抗
调用系统提供给负序电流流的阻抗负序阻抗。
零序阻抗
系统提供给零序电流流量的阻抗被称为零序阻抗。
在先前的故障计算中,z1,z.2和Z.0.分别是正,阴性和零序阻抗。这序列阻抗因考虑的电力系统组件类型而异: -
- 在静态和平衡电源系统组件,如变压器和线条,序列阻抗由系统提供的正面和负序列电流是相同的。换句话说,正序阻抗和负序阻抗变压器和电源线是相同的。
- 但在旋转机器的情况下万博实力品牌正面和负序列阻抗是不同的。
- 分配零序阻抗值是一个更复杂的值。这是因为任何点的三个零序电流电力系统在阶段,不合于零,但必须通过中性和/或地球返回。在三相变压器和由于零序列组件引起的机芯,在轭或现场系统中不会总和为零。根据物理布置非常广泛地受阻磁电路和绕组。
- 这电抗零序电流的传输线可以是正序电流的约3至5倍,较轻的值是没有地线的线路。这是因为之间的间距
去
和返回
(即中性和/或地球)如此大于三相导体组内返回(平衡)的正面和负序电流。 - 机器的零序列电抗被复合泄漏和绕组电抗,并且由于绕组平衡而增加的小部件(取决于绕组小管)。
- 变压器的零序电抗均取决于绕组连接和芯的结构。
- 这电抗零序电流的传输线可以是正序电流的约3至5倍,较轻的值是没有地线的线路。这是因为之间的间距





