什么是滞后电机?
磁滞电动机被定义为一个同步电动机那是有圆柱转子和工作滞后损失在高保留力淬硬钢转子的感应。它是一台单相电动机,它的转子是由铁磁材料在轴上的非磁性支撑。
滞后电机结构
磁滞马达由五个主要成分构成:
- 定子
- 单相定子绕组
- 转子
- 轴
- 遮阳线圈
磁滞电机的两个最重要的组成部分是定子和转子:
- 定子:磁滞电机定子以特定的方式设计,从单相电源产生同步旋转磁场。定子有两个绕组,(a)主绕组(b)辅绕组。在另一种设计中滞后电机定子支撑着遮光型磁极。
- 转子:磁滞电机转子由具有高滞后性损失特性的磁性材料制成。这种类型的材料的例子是铬,钴钢或玻璃氧化铝或合金。由于大面积,滞后损失变高滞后环。
转子不携带任何绕组或齿。转子的磁性圆柱形部分通过非磁性材料如黄铜的轴装配在轴上。
转子具有高耐减度性涡流损失。
滞后电动机的工作原理
a的启动行为滞后电机就像一个单相感应电动机并且运行行为与同步电机相同。它的行为可以逐步实现的工作原理,下面给出。
在起始条件下
- 当定子用单相交流电源通电时,转动磁场由定子产生。
- 维护旋转磁场主、辅绕组在启动和运行时必须连续供电。
- 在起动时,通过感应现象,定子旋转磁场在转子内感应二次电压。由此产生涡流在转子内流动,并发展转子。
- 因此涡流转矩是随着转子中的磁滞转矩而发展的。当转子磁性材料具有高磁滞损耗和高磁滞率时,转子中的磁滞转矩就会产生。
- 在进入稳定状态运行条件之前,转子在滑动频率下进行。
- 所以可以说,当转子借助这些感应现象产生的涡流转矩开始旋转时,就相当于单相感应电机。
处于稳态运行状态
-
- 当转子的速度接近同步速度时,定子将转子拉入同步。
- 在同步的条件下,定子场和转子场之间的相对运动消失。所以没有进一步的诱导现象继续。因此,没有在转子中产生涡流。因此,由于涡流引起的扭矩消失了。
- 在转子在同步速度的旋转时,通过感应在转子上旋转磁场通量在转子上产生磁极;它们被命名为北(n)和南部的杆子。因此,转子表现为具有转子轴的永磁体作为诱导磁轴。
- 对于高剩余磁力或保持性,转子极强度仍然可持续或不变。再次更高的保持性,滞后扭矩越高,滞后扭矩总是与转子速度无关。高保持性使得定子和转子之间的连续磁锁定,因此电动机以同步速度旋转。
- 在转子中磁化循环下建立滞后损耗的最大工作等于B-H滞后曲线内的表面积。
- 在较低的负载转矩下,为使转子旋转所作的功等于转子中已有的磁滞现象所作的最大磁化功。因此感应磁极轴始终跟随定子的旋转磁场轴,无滞后角。
- 但是,当负载扭矩足够高时,通过滞后现象的转子最大磁化工作不能满足旋转转子所需的工作。
- 因此感应磁场轴或转子极轴滞后旋转磁场定子轴的角度为δh。因此,转子极轴试图赶上定子磁场轴线。
- 如果负载转矩增加,这一滞后角将增加到δ最大在降至同步状态之前。
- 转子磁极被吸引向移动的定子磁极,并以同步速度运行。
- 由于转子在稳态运行时不存在转差率,只存在磁滞转矩来保持转子以同步速度运行,其性能与同步电机相似。
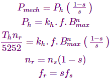
什么是滞后功率损失,ph在滞后电机?
给出了磁滞电机转子的磁滞功率损耗
在那里,
fr为转子磁链反转的频率(Hz)
B最大为气隙中磁通密度的最大值(T)
Ph为滞后热功率损失(W)
kh滞后量是常数吗
滞后电机中滞后扭矩的等式是什么?
从滞回转矩的方程可以看出,滞回转矩与频率和速度无关。
磁滞电机的转矩-转速特性是什么?
磁滞电机的扭矩速度特性下面给出。
我们知道在迟滞电机中存在恒定的迟滞转矩。这个恒定的扭矩值允许电机同步任何负载,它可以加速。
用深垂直线提到正常操作范围。
什么是速度扭矩特性?
磁滞马达的速度扭矩特性如下所示。
转矩几乎恒定从开始运行条件。在起动状态下,起动扭矩是涡流扭矩以及滞后扭矩。但是在运行状态下,净运行扭矩仅根据滞后扭矩表示。
磁滞马达的起始扭矩是多少?
假设φ.年代为同步转速下的定子磁链。
φ.r为转子磁通。由于磁滞效应,φrLAGφ.年代以角度α。
然后产生的起始扭矩由
K是比例常数。
滞后电机的类型
通过施工有各种类型的磁滞马达。他们是:
- 圆柱滞后电机:它有圆柱形转子。
- 磁盘磁滞电机:它具有环形环形转子。
- 圆周场磁滞马达:它的转子由一个无磁材料环支撑,磁导率为零。
- Axial-Field磁滞电动机:它具有由具有无限磁导率的磁性材料环支撑的转子。
磁滞电机的优点
主要的滞后电机的优点给出如下:
- 在转子中没有牙齿而不是绕组,在操作过程中没有机械振动。
- 它的运行是安静和无噪音,因为没有振动。
- 它适合加速惯性载荷。
- 采用轮系可以实现多速运行。
滞后电机的缺点
的滞后电机的缺点给出如下:
- 磁滞电动机具有较差的产出,即输出的四分之一感应电动机具有相同的维度。
- 低效率
- 低扭矩。
- 低功率因数
- 这种类型的电机仅适用于非常小的尺寸。
滞后电机的应用
磁滞电机有很多应用,包括:
- 良好的生产设备
- 录音仪器
- 高质量唱片机
- 计时设备
- 电时钟
- 电线打印机





