什么是媒介传输线?
一个中等传输线被定义为输电线路有效长度大于80公里(50英里)但小于250公里(150英里)。与短输电线路时,介质传输线的线路充电电流是可感知的,因此出现分流电容必须考虑(这也适用于远距离输电线路)。分路电容被捕获在准入(“Y”)的ABCD电路参数。
的ABCD参数中长传输线的计算使用集总分流导纳,以及集总阻抗串联到电路。中长传输线的集总参数可以用三种不同的模型表示,即:
- 名义上的Π表示法(标称pi模型)
- 名义上的T表征(标称T模型)
- 结束电容器的方法
现在让我们对上述模型进行详细讨论,推导出介质传输线的ABCD参数。
介质传输线ABCD参数
中等传输线标称π表示
如果是标称的Π表示(即标称PI模型),将集总系列阻抗放置在电路的中间,而分流器导入在末端。从下面的π网络的图表中看出,总集总分道的分流入导率被分成2个等于一定数量,并且每一半具有值Y / 2位,在整个电路阻抗之间放置在发送和接收端。他们俩。
这样形成的电路形状类似于一个符号Π,因此称为a的π代表中等传输线。它主要用于确定电路的一般参数和执行载流分析。
我们可以在这里看到,v年代和VR是供给端还是接收端电压分别,我年代是个当前的流经供应端。我R电流是流过电路的接收端。我1和我3.是通过导纳的电流的值。和我2电流通过阻抗Z吗
现在申请KCL.,在节点p,我们得到。
类似地应用KCL,节点Q.
将式(2)代入式(1)
现在通过应用在任一瞬间电路,
将式(4)和式(5)与标准ABCD参数方程进行比较
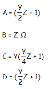
我们推导出介质传输线的ABCD参数为:
介质传输线的标称表示
在名义T中质传输线的模型集总分流导纳置于中间,而网络串联阻抗被分成相等的两部分并置于分流导纳的两侧。这样形成的电路类似于一个首都的象征T,因此被称为中长传输线的标称T网,如下图所示。
这里也V年代和Vr是供给端还是接收端电压分别为,
我年代是流过电源端的电流。
我r电流是流过电路的接收端。
设M为电路中点的一个节点,M处的落差由V给出米。
将KVL应用于上述网络得到:
现在发送端电流是,
代入V的值米(9)式有:
再次将式(8)、(10)与标准ABCD参数方程进行比较,
的参数T网络的中等传输线是
结束电容器的方法
在这种方法中,线路的电容是跛行或集中在接收端或负载端。这种在负载端定位线路电容的方法高估了电容的影响。





