一种三相感应电动机基本上是一个恒定的速度电机,所以它有点难以控制其速度。速度控制感应电动机以效率降低和低成本完成电力因数。在讨论方法之前控制三相感应电动机的速度当速度控制方法取决于这些公式时,人们应该知道三相感应电动机的速度和扭矩的基本公式。
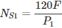
同步速度

其中,f =频率和p是杆的数量
感应电动机的速度由,
在哪里,
n是感应电动机转子的速度,
NS.是同步速度,
S是滑动。
由三相感应电动机产生的扭矩由,
当转子处于静止滑动时,S是一个。
所以扭矩的等式是,
在哪里,
E.2是转子EMF
NS.是同步速度
R.2是转子抵抗性
X2是转子电感电抗
感应电动机的速度从两个定子和转子侧改变。来自定子侧的三相感应电动机的速度控制进一步归类为:
- V / F控制或频率控制。
- 改变定子杆的数量。
- 控制电源电压。
- 在定子电路中添加变阻器。
来自转子侧的三相感应电动机的速度控制进一步归类为:
- 在转子侧增加外部电阻。
- 级联控制方法。
- 将滑移频率EMF注入转子侧。
定子侧的速度控制
-
V / F控制或频率控制
每当三相电源给三相电动机时旋转磁场生产的,它以同步速度旋转

在三相感应电动机EMF中诱导类似于变压器由此提供
其中,K是绕组常数,T是每相的匝数,F是频率。现在,如果我们改变频率同步速度变化,但随着频率通量的降低,将增加和这种值的变化助势引起转子和定子芯的饱和,这将进一步引起电动机的负载电流增加。因此,重要的是保持助焊剂,φ常数,只有在改变时才才有可能电压。即,如果我们减少频率通量增加,但是如果我们减少电压通量的情况下,如果降低电压通量也会导致通量的变化没有变化,因此它保持不变。因此,在这里,我们将V / F的比率保持恒定。因此它的名称是v / f方法。通过V / F方法控制三相感应电动机的速度,我们必须提供通过使用转换器容易获得的可变电压和频率逆变器放。控制电源电压
通过运行三相感应电动机产生的扭矩

在低滑动区域(SX)2与r相比非常小2。所以,它可以忽略。所以扭矩变成了
由于转子电阻,r2是恒定的,所以扭矩方程进一步减少到
我们知道转子诱导EMF e2αv。所以,tαsv2。
上述等式清除,如果我们减少电源电压扭矩也将减小。但是为了提供相同的负载,扭矩必须保持不变,只有在我们增加滑动时才可以增加,并且如果滑动增加,电机将以减小的速度运行。这种速度控制方法很少使用,因为速度的小变化需要大的电压降低,因此当前的电机增加,这导致过热感应电动机。改变定子杆的数量:
定子杆可以通过两种方法改变
多定子绕组方法。
极幅度调制方法(PAM)
多个定子绕组方法
在这种速度控制的三相感应电动机的方法中,我们在定子中提供两个单独的绕组。这两个定子绕组彼此电隔离,并且缠绕两种不同数量的杆。使用切换装置,一次仅提供给一个绕组,因此可以进行速度控制。该方法的缺点是不可能平滑速度控制。随着需要两个不同的定子绕组,该方法更昂贵且效率较低。这种速度控制方法只能应用于灰鼠笼电机。
极幅度调制方法(PAM)
在这种速度控制方法中,三相感应电动机的原始正弦MMF波被另一个具有不同数量的极数的正弦MMF波调制。
让F.1(θ)是速度应控制的速度电动机的原始MMF波。
F2(θ)是调制MMF波。
P.1是要控制速度的感应电机的极数。
P.2是调制波的极点。
调制结果后MMF波
所以我们得到了,得到了MMF波
因此,得到的MMF波将有两个不同数量的杆
因此,通过改变极点的数量,我们可以轻松改变三相感应电动机的速度。
在定子电路中添加变阻器
在这种速度控制方法中,由于该电压,在定子电路中加入了三相感应电动机变阻器的掉落。在TαSV的情况下产生的三相感应电动机扭矩的情况下。22。如果我们减少电源电压扭矩也会降低。但是为了提供相同的负载,扭矩必须保持不变,只有在我们增加滑动时才有可能,并且如果滑动升高电动机会降低速度。
转子侧的速度控制
在转子侧添加外部电阻
在这种速度控制的方法中,在转子侧添加了三相感应电动机外部电阻。三相感应电动机的扭矩方程是

三相感应电动机在低滑移区域中运行。在低滑动区域术语(SX)中2与r相比变得非常小2。所以,它可以忽略。而且E也是2是恒定的。因此,简化后扭矩的方程变为,
现在,如果我们增加转子电阻,r2扭矩减小但供应相同的负载扭矩必须保持恒定。因此,我们增加了滑移,这将进一步导致转子速度的降低。因此,通过在转子电路中添加额外的电阻,我们可以降低三相感应电动机的速度。该方法的主要优点是,由于添加外部电阻开始扭矩,但这种速度控制方法的三相感应电机也遭受了一些缺点:- 高于正常值的速度是不可能的。
- 大的速度变化需要大的电阻值,如果在电路中添加了这种大量的电阻值,则会导致大铜损失,从而降低效率。
- 抗性的存在导致更多的损失。
- 这种方法不能用于鼠笼式感应电动机。
级联控制方法
在这种速度控制的方法中,两个三相感应电动机连接在公共轴上,因此称为级联电动机。一个电机是称为主电机,另一个电机称为辅助电机。在辅助电动机从主电动机的滑环的滑动频率推导出辅助电动机的同时给出三相电源。
让n ..S1是主电机的同步速度。
NS2是辅助电机的同步速度。
P.1是主要电机的极点数。
P.2是辅助电机的极点。
F是供应频率。
F1是转子诱导主电机EMF的频率。
n是设定的速度,并且对于安装在公共轴上的电动机上的主和辅助电动机两者保持相同。
S.1是主电机的滑动。
辅助电动机提供与主电机相同的频率I.E
现在把价值置于
现在无负载,辅助转子的速度几乎与其同步速度相同i.e n = nS2
现在重新排列上述等式并找出n的值,我们得到,
这种级联的两个电机现在将以新的速度运行,具有杆数量(p1+ P.2)。在上述方法中,由主电动机和辅助电动机产生的扭矩将相同的方向作用,导致杆数量(P1+ P.2)。这种类型的级联称为累积级联。还有一种级联的级联,其中由主电动机产生的扭矩与辅助电动机的方向相反。这种类型的级联称为差分级联;导致速度对应于极数(P1- P.2)。
在这种速度控制的三相感应电动机的方法中,可以获得四种不同的速度- 当只有主要的感应电机工作时,具有速度对应
。
- 当只有辅助感应电机工作时,具有速度对应
。
- 完成累积级联时,那么完整的设置以速度运行
。
- 完成差动级联时,然后完整的设置以速度运行
。
- 当只有主要的感应电机工作时,具有速度对应
将滑移频率EMF注入转子侧
当通过在转子电路中增加电阻来完成三相感应电机的速度控制时,调用的某些电源,滑动电源丢失2损失。因此,通过这种速度控制方法减少了三相感应电动机的效率。可以回收并提供回收的滑动功率损耗以提高三相感应电动机的整体效率,并且该恢复电源的方案称为滑动电源恢复方案,这是通过连接滑动频率EMF的外部源来完成的到转子电路。注入的EMF可以反对转子诱导的EMF或辅助转子诱导的EMF。如果它反对转子诱导的EMF,则总转子电阻增加,因此速度降低,如果注入的EMF有助于主转子EMF总减小并因此速度增加。因此,通过在转子电路中注入诱导的EMF,可以容易地控制速度。这种类型的三相感应电动机的速度控制的主要优点是,无论是正常的还是低于正常速度,都有很多速度控制。














