什么是串联电压?
一种系列电路或串联指当两个或更多个电气部件在电路内的链式布置中连接在一起时。在这种电路中,只有单一的充电方式通过电路。电路中两个点的电位潜在变化被称为电压。在本文中,我们将详细讨论串联电路中的电压。
该电池电路的电流提供能量使电荷通过电池并产生电流潜在差异在外部电路的两端之间。现在,如果我们假设一个2伏的电池,它会在外部电路中产生2伏的电位差。
正极的电势值比负极的电势值大2伏。所以,当电荷从正极流到负极时,它会造成2伏特的电势损失。
这被称为电压下降。当充电的电能被转换为某种其他形式(机械,热,光等)时发生这种情况(电阻器或负载)在电路中。
如果我们考虑一个具有串联连接的多个电阻的电路,并且用2V电池供电,电位的总损耗是2V。也就是说,每个连接的电阻都会有一定的电压下降。但我们可以看到所有组件的电压降的总和将是2V,其等同于电压电源的评级。
在数学上,我们可以表达它
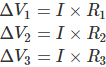
通过使用欧姆的法律单个电压降可以计算为
现在,我们可以假设串联电路包括3个电阻,并由9V能量供电。在这里,我们将在通过期间发现不同位置的潜在差异当前整个串联电路。
位置标记为下面的电路中的红色。我们知道电流在从正端子到源的负端子的方向上传递。电压或电位差的负迹象表示由于电阻器引起的电位损失。
借助于称为下面示出的电势图的图表,电路中不同点的电势差可以表示。
在这个例子中,由于A是高电位端,所以在A = 9V处的电势。H = 0V时的电势,因为它是负极。当电流通过9V电源时,电荷获得9V的电势,从H到a。当电流通过外部电路时,电荷完全失去这9V。
这个过程分为三个步骤。当电流通过时,将会有跌落电压电阻器但是当通道通过Mere Mere Wire时,不会发生电压降。所以,我们可以看到积分AB,CD,EF和GH之间;没有电压下降。但在B和C点之间,电压降为2V。
这是源电压9V变为7V。接下来,在点D和E之间,电压下降是4V。此时,电压7V变成3V。最后,在点F和G之间,电压降为3V。此时,电压3V变为0V。
在G点和H点之间的电路部分,电荷没有能量。因此,它希望再次通过外部电路来增加能量。这是由电源提供的电荷从H到A。
几个电压源串联可以通过采用所有电压源的总和来代替单电压源。但我们必须考虑如下所示的极性。
串联交流电压源
如果是串联交流电压源如果所连接的电源的角频率(ω)相同,则可以将电压源相加或组合成一个电源。如果串联的交流电压源具有不同的角频率,只要通过连接的电源的电流相同,就可以将其加在一起。
电压在串联电路中的应用
电压在串联电路中的应用包括:
- 分压器。
- 火灾报警的电池。
- 遥控器中的电池,玩具等。
- 在火车,圣诞树等的照明目的。





